Solve Question: 7/[(x-3)(x-2)]+9/(x-3) + 1 <0 - Get Help Now

  • Context: High School 
  • Thread starter Thread starter vkash
  • Start date Start date
Click For Summary
SUMMARY

The discussion focuses on solving the inequality 7/[(x-3)(x-2)] + 9/(x-3) + 1 < 0. Participants emphasize the importance of transforming the inequality into more manageable forms for easier analysis. A key point highlighted is that solving inequalities follows similar principles as solving equations, with the critical distinction being the need to reverse the inequality sign when multiplying or dividing by a negative number. The conversation suggests that rewriting the expression can reveal potential solutions more clearly.

PREREQUISITES
  • Understanding of algebraic inequalities
  • Familiarity with rational expressions
  • Knowledge of the properties of inequalities
  • Basic skills in manipulating algebraic fractions
NEXT STEPS
  • Learn how to factor rational expressions effectively
  • Study the process of solving inequalities involving rational functions
  • Explore the concept of critical points in inequalities
  • Practice rewriting complex inequalities into simpler forms
USEFUL FOR

Students studying algebra, particularly those working on inequalities and rational expressions, as well as educators seeking to enhance their teaching methods in these topics.

vkash
Messages
316
Reaction score
1
7/[(x-3)(x-2)]+9/(x-3) + 1 <0
How to solve this question. Just give me hint.

can you tell me how to write the words so that they come beneath other.

I know this question is for section homework help but i didn't found any suitable place for this question there so i put it here.


Thanks for any kind of help.
 
Physics news on Phys.org
Inequalities are solved mostly the same as equalities; the only difference is you must flip the inequality when multiplying or dividing it by a negative number.

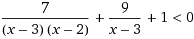
Most importantly, try getting it into some more usable forms. This isn't too useful:
r8a7g3.gif


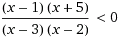
These two are better:
nwfxoy.gif

zloym8.gif


Does that make some solutions jump out to you?
 
KingNothing said:
Inequalities are solved mostly the same as equalities; the only difference is you must flip the inequality when multiplying or dividing it by a negative number.

Most importantly, try getting it into some more usable forms. This isn't too useful:
r8a7g3.gif


These two are better:
nwfxoy.gif

zloym8.gif


Does that make some solutions jump out to you?
Thanks!..
 

Similar threads

  • · Replies 8 ·
Replies
8
Views
2K
  • · Replies 3 ·
Replies
3
Views
4K
  • · Replies 3 ·
Replies
3
Views
3K
  • · Replies 2 ·
Replies
2
Views
2K
  • · Replies 4 ·
Replies
4
Views
4K
  • · Replies 3 ·
Replies
3
Views
3K
  • · Replies 4 ·
Replies
4
Views
2K
  • · Replies 24 ·
Replies
24
Views
4K
  • · Replies 4 ·
Replies
4
Views
2K
  • · Replies 4 ·
Replies
4
Views
2K