Solving a First Order Linear Differential Equation with an Initial Condition

  • Context: MHB 
  • Thread starter Thread starter Cadbury
  • Start date Start date
  • Tags Tags
    Point
Click For Summary
SUMMARY

The discussion focuses on solving the first order linear differential equation given by \(xu' - u = -2x^3\) with the initial condition \(y(1) = 2\), which translates to \(u(1) = 4\) where \(u = y^2\). The substitution \(x = u + 1\) and \(y = v + 2\) was initially attempted but did not yield a solution. The correct approach involves reducing the equation to its linear form and applying the initial value problem (IVP) to find the specific solution that meets the initial condition.

PREREQUISITES
  • Understanding of first order linear differential equations
  • Familiarity with initial value problems (IVP)
  • Knowledge of substitution methods in differential equations
  • Basic calculus, particularly derivatives and integration
NEXT STEPS
  • Study the method of integrating factors for solving linear differential equations
  • Learn about the existence and uniqueness theorem for initial value problems
  • Explore substitution techniques in differential equations
  • Practice solving various forms of first order linear differential equations
USEFUL FOR

Students and professionals in mathematics, particularly those studying differential equations, as well as educators looking for examples of solving initial value problems.

Cadbury
Messages
11
Reaction score
0
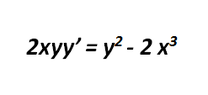
Hi! So I am solving this problem:

View attachment 3777

Find the solution that passes through (1,2)

First I tried substituting
x= u+1
y= v+2
dx = du
dy = dv to the equation but I cannot find the solution any help will be appreciated, thank you! :D
 

Attachments

  • a.png
    a.png
    843 bytes · Views: 124
Last edited:
Physics news on Phys.org
Note $2yy' = (y^2)'$, so by setting $u = y^2$, you may reduce your differential equation to the first order linear equation $xu' = u - 2x^3$, or

$$xu' - u = -2x^3.$$

Since you're looking for the solution that passes through $(1,2)$, you have an initial condition $y(1) = 2$. This translates to $u(1) = 4$, since $u = y^2$. Now solve the IVP

$$xu' - u = -2x^3,\quad u(1) = 4.$$
 
Euge said:
Note $2yy' = (y^2)'$, so by setting $u = y^2$, you may reduce your differential equation to the first order linear equation $xu' = u - 2x^3$, or

$$xu' - u = -2x^3.$$

Since you're looking for the solution that passes through $(1,2)$, you have an initial condition $y(1) = 2$. This translates to $u(1) = 4$, since $u = y^2$. Now solve the IVP

$$xu' - u = -2x^3,\quad u(1) = 4.$$

Thank you! :) :) :)
 

Similar threads

  • · Replies 3 ·
Replies
3
Views
2K
  • · Replies 7 ·
Replies
7
Views
4K
Replies
2
Views
3K
  • · Replies 4 ·
Replies
4
Views
4K
  • · Replies 2 ·
Replies
2
Views
4K
  • · Replies 52 ·
2
Replies
52
Views
10K
  • · Replies 2 ·
Replies
2
Views
3K
  • · Replies 5 ·
Replies
5
Views
3K
  • · Replies 2 ·
Replies
2
Views
3K
  • · Replies 5 ·
Replies
5
Views
3K