Solving a Physics Problem: Sine vs. Cosine Theta

Click For Summary
SUMMARY

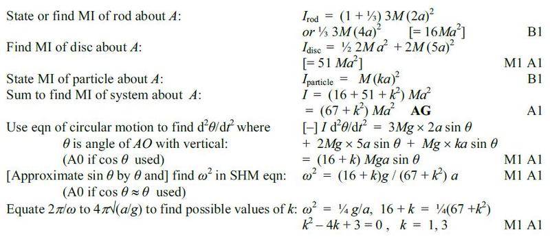
The discussion focuses on the application of sine and cosine functions in solving a physics problem related to change in potential energy. The user questions the use of sine theta in the examiner's expression, noting their own derivation leads to 1 - cosine theta. Additionally, they seek clarification on how theta was eliminated from the equation, referencing approximations for small angles where sin theta approximates theta and cos theta approximates 1 - 1/2 theta squared.

PREREQUISITES
  • Understanding of trigonometric functions, specifically sine and cosine.
  • Familiarity with small angle approximations in physics.
  • Basic knowledge of potential energy concepts.
  • Ability to manipulate algebraic expressions in physics equations.
NEXT STEPS
  • Study the derivation of potential energy expressions using trigonometric functions.
  • Learn about small angle approximations and their applications in physics.
  • Explore the relationship between sine and cosine in various physics contexts.
  • Review algebraic techniques for simplifying equations in physics problems.
USEFUL FOR

Students studying physics, particularly those tackling problems involving trigonometric functions and potential energy calculations.

Faiq
Messages
347
Reaction score
16

Homework Statement


Question is provided

The Attempt at a Solution


The required solution is provided

My question is, the examiner have used sine theta in their expression for change in potential. I keep ending up with 1 - cosine theta
Second question is how did they get rid of theta in the proceeding equation
 

Attachments

  • Inertia.jpg
    Inertia.jpg
    40.5 KB · Views: 416
  • Inertia answer.jpg
    Inertia answer.jpg
    42.9 KB · Views: 472
Physics news on Phys.org
See the left side. For small angles, ##\sin \theta \approx \theta## and ##\cos \theta \approx 1 - \frac 1 2 \theta^2## (sometimes ##\cos \theta \approx 1## is sufficient).
 

Similar threads

Replies
25
Views
2K
  • · Replies 18 ·
Replies
18
Views
3K
  • · Replies 4 ·
Replies
4
Views
3K
  • · Replies 2 ·
Replies
2
Views
8K
Replies
4
Views
3K
Replies
14
Views
4K
Replies
2
Views
2K
  • · Replies 2 ·
Replies
2
Views
3K
  • · Replies 4 ·
Replies
4
Views
2K
  • · Replies 3 ·
Replies
3
Views
2K