Solving a quadratic equation as a sum and product of its roots

Click For Summary
SUMMARY

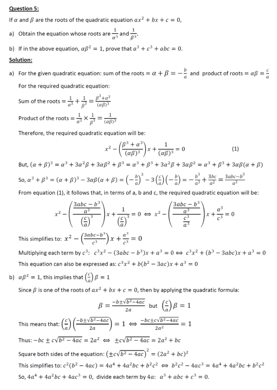
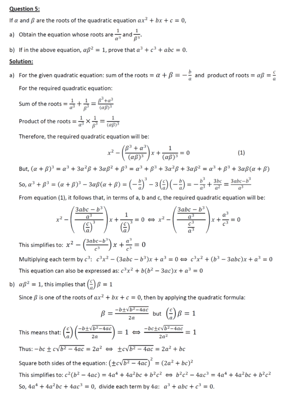
This discussion focuses on solving a quadratic equation using the sum and product of its roots, specifically addressing the equation derived from the roots expressed as ##\frac{1}{\alpha^3}## and ##\frac{1}{\beta^3}##. The participants clarify the correct signs in the equation, concluding that the textbook's indication of ##+b(b^2-3ac)## is accurate, as the coefficient of ##x## in the standard form of the quadratic equation must reflect the sum of the roots. The discussion emphasizes the importance of careful calculation and understanding the relationship between the coefficients and the roots of the equation.

PREREQUISITES
  • Understanding of quadratic equations and their standard form
  • Familiarity with the relationships between roots and coefficients (Vieta's formulas)
  • Basic algebraic manipulation skills
  • Knowledge of polynomial factorization techniques
NEXT STEPS
  • Study Vieta's formulas in detail to understand the relationship between roots and coefficients
  • Learn about polynomial factorization and its applications in solving equations
  • Explore advanced techniques for solving cubic equations
  • Investigate the implications of sign changes in polynomial equations
USEFUL FOR

Mathematics students, educators, and anyone interested in algebraic problem-solving, particularly those focusing on quadratic equations and their properties.

  • #31
chwala said:
The approach below is from a colleague, let me know of any other approach to this part of the question.

View attachment 265589
Your solution is a lot neater than that.
 
Physics news on Phys.org
  • #32
Thanks Perok, it took me a while to think on that...all the passion for this great subject...its a pleasure. I will be posting and sharing more questions...bingo!
 
  • Like
Likes   Reactions: etotheipi and PeroK

Similar threads

  • · Replies 10 ·
Replies
10
Views
2K
Replies
4
Views
1K
  • · Replies 22 ·
Replies
22
Views
1K
Replies
4
Views
2K
  • · Replies 7 ·
Replies
7
Views
2K
Replies
2
Views
2K
  • · Replies 3 ·
Replies
3
Views
1K
  • · Replies 10 ·
Replies
10
Views
2K
Replies
1
Views
1K
  • · Replies 7 ·
Replies
7
Views
1K