Solving an algebraic identity with ellipses

Click For Summary

Homework Help Overview

The discussion revolves around proving the algebraic identity $$\frac{x^n-1}{x-1}=x^{n-1}+x^{n-2}+\dots+x+1$$, with the assumption that all values of x and y are such that the denominators in the indicated fractions are not equal to 0. Participants express confusion regarding the nature of the expression involving ellipses and how to manipulate it to demonstrate the equality.

Discussion Character

  • Exploratory, Conceptual clarification, Mathematical reasoning, Problem interpretation, Assumption checking

Approaches and Questions Raised

  • Some participants question the validity of assuming the left and right sides of the equation are equal without proof. Others suggest using polynomial long division or proof by induction as potential methods to demonstrate the identity. There is also discussion about the meaning of ellipses in the context of the expression and how to properly distribute terms.

Discussion Status

The discussion is ongoing, with participants exploring various interpretations of the problem and the implications of using ellipses. Some guidance has been offered regarding the use of polynomial long division and the need for careful manipulation of the expressions involved. However, there is no explicit consensus on the best approach to take.

Contextual Notes

Participants note that they are working within the constraints of a basic high school math context, which may influence their understanding of proof techniques. There is also mention of potential confusion regarding the notation and the implications of the ellipses in the expression.

opus
Gold Member
Messages
717
Reaction score
131

Homework Statement


Prove the following relation. It is assumed that all values of x and y which occur are such that the denominators in the indicated fractions are not equal to 0.

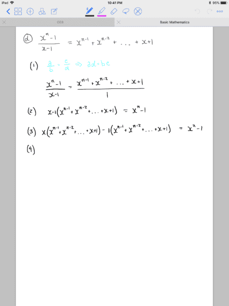
$$\frac{x^n-1}{x-1}=x^{n-1}+x^{n-2}+...+x+1$$

Homework Equations

The Attempt at a Solution



Please see attached document for my work and thought process. Will type it out if it isn’t clear to anyone.
I don’t know how to continue with step (4) as I don’t think I understand the nature of the expression with the ellipses etc and how I would go about distributing to cancel terms.
 

Attachments

  • 531715D0-2EE1-442B-9F7C-023D54F66CA9.png
    531715D0-2EE1-442B-9F7C-023D54F66CA9.png
    6.6 KB · Views: 479
Physics news on Phys.org
opus said:

Homework Statement


Prove the following relation. It is assumed that all values of x and y which occur are such that the denominators in the indicated fractions are not equal to 0.

$$\frac{x^n-1}{x-1}=x^{n-1}+x^{n-2}+...+x+1$$

Homework Equations

The Attempt at a Solution



Please see attached document for my work and thought process. Will type it out if it isn’t clear to anyone.
I don’t know how to continue with step (4) as I don’t think I understand the nature of the expression with the ellipses etc and how I would go about distributing to cancel terms.
Your work might not be enough. In the step where you multiply x - 1 and ##x^{n-1} + x^{n-2} \dots + x + 1##, you are tacitly assuming that the left and right sides are equal, but this is what you are supposed to show (i.e., prove).

One way to show that the left side equals the right side is to perform polynomial long division, but this involves a bit of hand-waving. If you know how to do a proof by induction, that would be the ideal method to use.

Regarding the work in the image, you have
##x - 1(x^{n - 1} + x^{n-2} + \dots + x + 1)##, which is incorrect. It should be ##(x - 1)(x^{n - 1} + x^{n-2} + \dots + x + 1)##.
In your step 4, just multiply using the distributive property -- each term in the binomial has to multiply each term in the longer polynomial. Again, though, your instructor might not consider this a valid proof.
 
opus said:

Homework Statement


Prove the following relation. It is assumed that all values of x and y which occur are such that the denominators in the indicated fractions are not equal to 0.

$$\frac{x^n-1}{x-1}=x^{n-1}+x^{n-2}+...+x+1$$

Homework Equations

The Attempt at a Solution



Please see attached document for my work and thought process. Will type it out if it isn’t clear to anyone.
I don’t know how to continue with step (4) as I don’t think I understand the nature of the expression with the ellipses etc and how I would go about distributing to cancel terms.

Ellipses are used to say "continue with that pattern", and are useful when a pattern is apparent, as in this problem. Sometimes the only other way of writing some expressions without using ellipses would be to use something like summation notation instead, such as ##\sum_{k=0}^n x^k##. We need some way to write such summations when the number of terms is not specified, and sometimes even when the number of terms is specified but is large. For example, would you rather write out all 101 terms of ##\sum_{k=0}^{100} x^k## rather than ##1+x+x^2 + \cdots + x^{99} + x^{100}?##
 
Last edited:
:oldconfused: With ellipses?
 
epenguin said:
:oldconfused: With ellipses?
An ellipse is a geometric figure. An ellipsis is the three dots - ... -.
The plural of both is ellipses.
 
  • Like
Likes   Reactions: ehild
Mark44 said:
An ellipse is a geometric figure. An ellipsis is the three dots - ... -.
The plural of both is ellipses.

:oldsurprised:This merits an entry in "Today I Learned".
 
  • Like
Likes   Reactions: jim mcnamara, randomgamernerd and Mark44
The thread title really should have ended with "with an ellipsis." At first I thought the question had to do with the geometric figure.
 
  • Like
Likes   Reactions: randomgamernerd and epenguin
Mark44 said:
Your work might not be enough. In the step where you multiply x - 1 and ##x^{n-1} + x^{n-2} \dots + x + 1##, you are tacitly assuming that the left and right sides are equal, but this is what you are supposed to show (i.e., prove).

One way to show that the left side equals the right side is to perform polynomial long division, but this involves a bit of hand-waving. If you know how to do a proof by induction, that would be the ideal method to use.

Regarding the work in the image, you have
##x - 1(x^{n - 1} + x^{n-2} + \dots + x + 1)##, which is incorrect. It should be ##(x - 1)(x^{n - 1} + x^{n-2} + \dots + x + 1)##.
In your step 4, just multiply using the distributive property -- each term in the binomial has to multiply each term in the longer polynomial. Again, though, your instructor might not consider this a valid proof.
I'm very new to the whole proof process thing, as this is a basic high school math book. I thought I could just smack it a few times with legal algebraic manipulations and if the two sides end up being identical, then the given equation is a true statement? You're saying this is not an acceptable way to do a proof?

I didn't think about dividing the LHS via long division. The ##x^n## throws me for a loop there. I'm not sure how I'd go about divining them to end up with something on the RHS as I don't see the pattern in ##x^{n-1} + x^{n-2} \dots + x + 1##
I look at this as going ##x^{n-1}+x^{n-2}+x^{n-3}+x^{n-4}\dots+x+1## How can I look at this as being something that I can get through division on the LHS?

And again, in terms of step 4 an distributing though, I don't see how I can do this with the missing terms. I know I'm not looking at it correctly as I think that the ellipses means that the starting pattern will go on forever.
 
opus said:
I'm very new to the whole proof process thing, as this is a basic high school math book. I thought I could just smack it a few times with legal algebraic manipulations and if the two sides end up being identical, then the given equation is a true statement? You're saying this is not an acceptable way to do a proof?
When you multiplied x - 1 and ##x^{n -1} + x^{n - 2} + \dots + x + 1##, you were tacitly assuming that ##\frac{x^n - 1}{x - 1} = x^{n -1} + x^{n - 2} + \dots + x + 1##. This assumption isn't automatically correct, as long as the legal algebraic manipulations (your terminology) you do are reversible.

Here is sort of an example. I say "sort of" because it's solving an equation rather than proving an equation is true.
##\sqrt{x - 1} = -2##
Square both sides:
##x - 1 = (-2)^2 = 4##
##x = 5## Tada!
Except that ##\sqrt 5 \neq -2##
The problem is that squaring both sides of an equation is not a reversible operation for the reason that ##f(x) = x^2## is not a one-to-one function. (For a given output value, there are generally two input values.

Your proof would be acceptable if the "legal algebraic manipulations" you applied were limited to adding (subtracting) the same number to (from) both sides, multiplying both sides by the same nonzero number, dividing both sides by the same nonzero value, and a few more operations that are one-to-one (like taking logs, raising both sides as a power of, say, e, and a few others).

opus said:
I didn't think about dividing the LHS via long division. The ##x^n## throws me for a loop there. I'm not sure how I'd go about divining them to end up with something on the RHS as I don't see the pattern in ##x^{n-1} + x^{n-2} \dots + x + 1##
I look at this as going ##x^{n-1}+x^{n-2}+x^{n-3}+x^{n-4}\dots+x+1## How can I look at this as being something that I can get through division on the LHS?
Here's a link to a page I found on polynomial long division -- http://www.sosmath.com/algebra/factor/fac01/fac01.html
opus said:
And again, in terms of step 4 an distributing though, I don't see how I can do this with the missing terms. I know I'm not looking at it correctly as I think that the ellipses means that the starting pattern will go on forever.
No, that's not what the ellipsis (singular, there's just one ellipsis there) means. The ellipsis appears in the middle, so the exponents march down from n-1, n-2, and so on, down to an exponent of 1, and then an exponent of 0.

By distributing in the product ##(x - 1)(x^{n -1} + x^{n - 2} + \dots + x + 1)##, what I mean is to multiply x times each term in the right-hand expression, and then multiply -1 times each term in the right-hand expression. You should see that most of the terms drop out.

For example, if I have ##(x - 1)(x^3 + x^2 + x + 1)## I get ##x^4 + x^3 + x^2 + x## + ##-x^3 - x^2 - x -1##. If you combine like terms, what do you get?
 
Last edited by a moderator:

Similar threads

  • · Replies 69 ·
3
Replies
69
Views
11K
  • · Replies 2 ·
Replies
2
Views
3K
  • · Replies 10 ·
Replies
10
Views
4K
  • · Replies 5 ·
Replies
5
Views
1K
  • · Replies 3 ·
Replies
3
Views
2K
  • · Replies 1 ·
Replies
1
Views
2K
  • · Replies 14 ·
Replies
14
Views
3K
  • · Replies 3 ·
Replies
3
Views
2K
  • · Replies 26 ·
Replies
26
Views
7K
  • · Replies 10 ·
Replies
10
Views
2K