Solving Gravitational Lensing Homework for Hubble Constant

Click For Summary
SUMMARY

The forum discussion focuses on deriving the Hubble Constant (H0) using gravitational lensing data from a quasar at redshift 0.3, lensed by an elliptical galaxy at redshift 0.18. The separation of the two quasar images is 1.1 and 1.6 arcseconds, with a time lag of 16.7 days between their intensity flares. The user initially calculated a path difference of 0.00216516/H0 but struggled to relate the time lag to this path difference. Key corrections included converting arcseconds to radians for trigonometric functions.

PREREQUISITES
  • Understanding of gravitational lensing principles
  • Familiarity with redshift calculations
  • Knowledge of the Hubble Constant and its significance
  • Proficiency in trigonometric functions and conversions between degrees and radians
NEXT STEPS
  • Study gravitational lensing effects on light propagation
  • Learn about redshift and its implications in cosmology
  • Explore the relationship between time delays and path differences in gravitational lensing
  • Investigate the mathematical derivation of the Hubble Constant from observational data
USEFUL FOR

Astronomy students, astrophysicists, and anyone interested in cosmological measurements and the implications of gravitational lensing on the Hubble Constant.

MrSavikins
Messages
4
Reaction score
0

Homework Statement


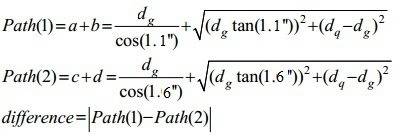
A quasar at redshift 0.3 is gravitationally lensed into two images by an elliptical galaxy at redshift 0.18. The two images of the quasar are separated from the center of the galaxy by 1.1 and 1.6 arcseconds, on opposite sides. One of the quasar images flares up in intensity by 1 magnitude and 16.7 days later the second quasar image flares by the same amount and with the same time profile. Making the approximation that the quasar lies directly behind the galaxy, derive a value for the Hubble Constant.
Ignore acceleration and expansion of universe and galaxies. Assume paths are straight lines.

Homework Equations


Posted as attached files with a beautiful diagram of the situation.

The Attempt at a Solution


So I started by plugging in v and c in the redshift equation. I then put the value I got for v into the d=v/H equation and kept H as it is because that's what we're trying to derive.
I got v_g and v_q and then d_g and d_q in terms of H_0.
I then plugged all my values into my path equations and received a path difference of 0.00216516/H_0 (you guys can test me on this I spent a long time trying to get to this value so it could be wrong).

I don't know what to do from here because I have no idea what a difference in magnitude and a time given to us has to do with the path difference. If I could relate the time lag between the two flares with the path difference then I can get my H_0 value yay.
Untitled.jpg
Untitled.jpg
Untitled.jpg
Untitled.jpg
Untitled.jpg
Untitled.jpg
Untitled.jpg
 
Physics news on Phys.org
MrSavikins said:
If I could relate the time lag between the two flares with the path difference then I can get my H_0 value yay.
Light moves at the speed of light...

The difference in magnitude does not matter. To verify you actually see the same quasar twice, it is nice to check that both images follow the same profile, but you don't have to care about that here.

MrSavikins said:
and received a path difference of 0.00216516/H_0
This is a time, not a distance.
 
Thanks! Yeah I did that, and I set that value equal to the light days difference. Also it turns out I made a mistake and put in arcseconds into the cosine and tangent functions and I actually should have converted the arcseconds to radians first and then put them into the trig functions.
 

Similar threads

  • · Replies 1 ·
Replies
1
Views
2K
  • · Replies 1 ·
Replies
1
Views
2K
  • · Replies 3 ·
Replies
3
Views
2K
  • · Replies 29 ·
Replies
29
Views
8K
  • · Replies 5 ·
Replies
5
Views
3K
  • · Replies 18 ·
Replies
18
Views
3K
  • · Replies 2 ·
Replies
2
Views
2K
  • · Replies 4 ·
Replies
4
Views
2K
  • · Replies 4 ·
Replies
4
Views
2K
  • · Replies 5 ·
Replies
5
Views
3K