Solving Integral: U-Substitution, Interval Values

  • Thread starter Thread starter sparkle123
  • Start date Start date
  • Tags Tags
    Integral
Click For Summary

Homework Help Overview

The discussion revolves around the application of u-substitution in the context of evaluating a definite integral, specifically addressing how interval values are affected during the substitution process.

Discussion Character

  • Exploratory, Assumption checking, Mathematical reasoning

Approaches and Questions Raised

  • Participants explore the mechanics of u-substitution, questioning how interval bounds are treated during the substitution process. Some suggest alternative forms for expressing the integral, while others discuss the use of trigonometric substitution as a potential approach.

Discussion Status

The discussion is active with various perspectives on handling bounds during u-substitution. Some participants provide insights into their personal strategies for managing bounds, while others critique the appropriateness of different substitution methods. No consensus has been reached, but several productive lines of reasoning are being explored.

Contextual Notes

Participants mention the importance of maintaining clarity between different variable notations (e.g., r vs. R) and express varying levels of comfort with changing bounds during integration.

sparkle123
Messages
172
Reaction score
0
bdc76189.png


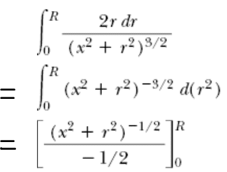
How does this work? I can only think that this is some sort of u-substitution of r^2 for r but then why don't the interval values change to 0 and R^2? Thanks!
 
Physics news on Phys.org
When you do a u substitution the upper and lower bounds are only changed temporarily. Once you put back the original terms in place of u, the upper and lower bound go back to what they were in the first place, and then you do the final calculation of the definite integral. Since they didn't actually change to a new variable here, they never had to change the bounds.
Slight detail.

Also, don't let little r get confused with capital R. R is just some number.
 
It's like a u substitution, but each step is in terms of r.

I suppose the proper thing to do would have been to write the second line as in one of the following forms:
[itex]\displaystyle \int_0^{r=R}\left(x^2+r^2\right)^{-3/2}\,d(r^2)[/itex]

[itex]\displaystyle \int_0^{\sqrt{R}}\left(x^2+r^2\right)^{-3/2}\,d(r^2)\,,[/itex] since r2 is the "variable" of integration.​

But it's not unusual to see it expressed the way you posted it.
 
I always just change my upper and lower bounds to "a" and "b" until I'm back in the original terms. Too lazy to determine new bounds just to toss them out again, but careful enough not to lose points on an exam!
 
ArcanaNoir said:
I always just change my upper and lower bounds to "a" and "b" until I'm back in the original terms. Too lazy to determine new bounds just to toss them out again, but careful enough not to lose points on an exam!

You can usually work out the indefinite integral using whatever methods, writing the final result in terms of the original variable, of course, then put in the bounds for the definite integral.
 
You could also use a trigonometric function substitution, the denominator is a dead give away.

opposite = r
adjacent = x
hypotenuse = sqrt(r^2 + x^2)

hypotenuse/opposite = csc(theta) = sqrt(r^2 + x^2)/r
csc(theta)^3 = (r^2 + x^2)^(3/2)/r^3

then

2 integral [0,R] r/(x^2+r^2)^(3/2) dr = 2 integral [0, R] dr/(r^3*csc(theta)^3)
I'll let you figure out were to go from there ^_^
 
With that additional "r", a trig substitution is NOT the best way to do this problem.

However, I would make the substitution for the entire root, not just r2:
let u= x2+ r2.
 
Thanks everyone!
 

Similar threads

  • · Replies 12 ·
Replies
12
Views
2K
  • · Replies 12 ·
Replies
12
Views
2K
Replies
3
Views
2K
Replies
2
Views
3K
  • · Replies 4 ·
Replies
4
Views
2K
  • · Replies 5 ·
Replies
5
Views
2K
Replies
4
Views
2K
  • · Replies 2 ·
Replies
2
Views
2K
Replies
5
Views
2K
  • · Replies 21 ·
Replies
21
Views
2K