Solving Laplace Eqn by Separation of vbls

Click For Summary
SUMMARY

The discussion focuses on solving the Laplace equation using the method of separation of variables. A participant expresses confusion regarding the application of the product rule in differentiation, specifically the formula \(\frac{\partial}{\partial x} \left(f(x)g(x)\right) = g(x) \frac{\partial f(x)}{\partial x} + f(x) \frac{\partial g(x)}{\partial x}\). This mathematical principle is crucial for correctly manipulating functions during the separation process. The conversation highlights the importance of understanding differentiation rules in mathematical problem-solving.

PREREQUISITES
  • Understanding of the Laplace equation and its significance in mathematical physics.
  • Familiarity with the method of separation of variables.
  • Knowledge of basic calculus, particularly differentiation rules.
  • Proficiency in applying the product rule in calculus.
NEXT STEPS
  • Study the method of separation of variables in solving partial differential equations.
  • Review the product rule and its applications in calculus.
  • Explore examples of solving the Laplace equation in various coordinate systems.
  • Investigate common pitfalls in differentiation to enhance problem-solving skills.
USEFUL FOR

Mathematics students, educators, and professionals in fields involving differential equations, particularly those focusing on mathematical physics and engineering applications.

Vapor88
Messages
24
Reaction score
0
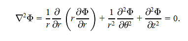
Okay, I'm stumped at what seems like a very simple mathematical step

I start with
laplace1.png


Then, the next step is
laplace2.png


I see what changed, but I don't understand exactly what happened. Can someone please explain? Thanks in advance!
 
Physics news on Phys.org
They just applied the product rule:

[tex]\frac{\partial}{\partial x} \left(f(x)g(x)\right) = g(x) \frac{\partial f(x)}{\partial x} + f(x) \frac{\partial g(x)}{\partial x}[/tex]
 
*facepalm*

Thanks. Also, just realized this is in the wrong forum. I'm on a roll...
 

Similar threads

Replies
1
Views
2K
  • · Replies 1 ·
Replies
1
Views
2K
  • · Replies 4 ·
Replies
4
Views
2K
  • · Replies 3 ·
Replies
3
Views
4K
  • · Replies 3 ·
Replies
3
Views
3K
  • · Replies 7 ·
Replies
7
Views
3K
  • · Replies 3 ·
Replies
3
Views
3K
  • · Replies 2 ·
Replies
2
Views
5K
Replies
3
Views
2K
Replies
3
Views
3K