Solving system of differential equations using matrix exponential

Click For Summary

Homework Help Overview

The discussion revolves around solving a system of differential equations using matrix exponentials, specifically focusing on the transformation of the coefficient matrix into its Jordan normal form and the implications of this transformation on the solution process.

Discussion Character

  • Exploratory, Conceptual clarification, Mathematical reasoning

Approaches and Questions Raised

  • Participants explore the transformation of the original matrix A into its Jordan normal form to facilitate the computation of the matrix exponential. Questions are raised about the origin of the coefficient matrix and the process of finding its inverse, as well as the fundamental matrix's relationship to the solution.

Discussion Status

Several participants are engaging with the concepts of matrix transformations and their applications in solving differential equations. Guidance has been offered regarding the Jordan normal form and the fundamental matrix, but there is no explicit consensus on the specific details of the transformations or their implications.

Contextual Notes

Participants are navigating the complexities of matrix exponentials and transformations, with some expressing confusion about the relationship between the original system and the transformed matrices. There is an emphasis on understanding the definitions and roles of various matrices involved in the solution process.

member 731016
Homework Statement
Please see below
Relevant Equations
Please see below
For this problem,
1715474953990.png

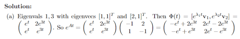
The solution is,
1715475028077.png

However, can someone please explain to me where they got the orange coefficient matrix from?It seems different to the original system of the form ##\vec x' = A\vec x## which is confusing me.

Thanks!
 

Attachments

  • 1715474985077.png
    1715474985077.png
    14.4 KB · Views: 121
Physics news on Phys.org
This is all about transforming the original matrix A into it's Jordan normal form as the easy way to solve ##e^{At}## (the state transition matrix). But then you have to do the inverse transformation to get it back to the original basis. The reason you find the eigenvectors is to create the Jordan form, which, for simple systems is just a matrix with the e-values on the diagonal.

So, in your case the transform to the Jordan normal form uses the e-vector matrix ##H=
\begin{bmatrix}
1 & 2\\
1 & 1
\end{bmatrix}##
What is it's inverse ##H^{-1}## and how would you use it?

https://math24.net/method-matrix-exponential.html
https://sites.millersville.edu/bikenaga/linear-algebra/matrix-exponential/matrix-exponential.html

plus soooo many other versions of this problem on the web.
 
  • Love
Likes   Reactions: member 731016
This is also an excellent video of ##e^{At}##.
 
  • Love
Likes   Reactions: member 731016
Thank you for your replies @DaveE!

Do you please know why ##Φ'(t) = e^{At}Φ(0)## where ##Φ## is fundamental matrix?

Thanks!
 

Similar threads

  • · Replies 4 ·
Replies
4
Views
2K
Replies
8
Views
3K
Replies
2
Views
1K
Replies
3
Views
2K
  • · Replies 5 ·
Replies
5
Views
2K
  • · Replies 3 ·
Replies
3
Views
1K
  • · Replies 2 ·
Replies
2
Views
1K
Replies
10
Views
2K
  • · Replies 2 ·
Replies
2
Views
1K
  • · Replies 2 ·
Replies
2
Views
1K