Someone help. Sequence and continuous functions.

Click For Summary

Discussion Overview

The discussion revolves around understanding limits of sequences and continuous functions, particularly how to approach problems involving these concepts. Participants express confusion about determining limits and the methods used to find them, as well as the necessity of knowing minimum and maximum values beforehand.

Discussion Character

  • Exploratory, Technical explanation, Conceptual clarification, Debate/contested

Main Points Raised

  • One participant expresses confusion about how to determine limits of sequences and continuous functions and questions if there is a singular method to approach these problems.
  • Another participant suggests that one does not know the details in advance and explains that for large values of n, the behavior of the sequence can be approximated by comparing the highest powers in the numerator and denominator.
  • A later reply clarifies that the example provided is not about finding the limit but rather about proving that a guessed limit is correct, emphasizing the process of approximation.
  • Another participant mentions that there is no strict rule for finding limits and describes limits as a means to rigorously approximate behavior as expressions approach certain points.

Areas of Agreement / Disagreement

Participants do not reach a consensus on the methods for finding limits, with some expressing confusion and others providing differing perspectives on the approach to limits and the role of approximation.

Contextual Notes

Participants highlight the importance of understanding the behavior of functions and sequences, but there are unresolved aspects regarding the specific techniques for finding limits and the assumptions involved in those techniques.

Charles007
Messages
21
Reaction score
0
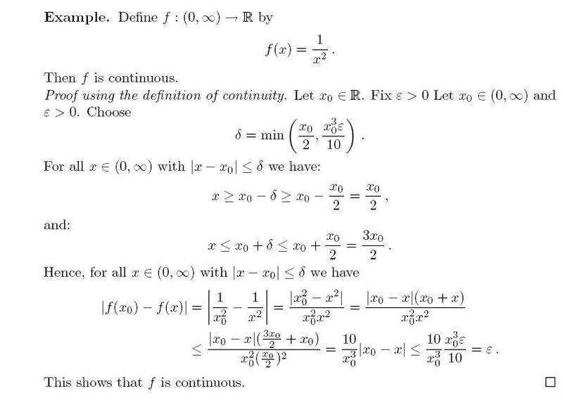
I am confused with sequence and continuous functions.

I am confued with their limit. how do they know the min and max before they attempt the question. and is that the only solution to the question? I mean. Everytimes if I see kind question like this, is that only way to do it?...

Many thx.

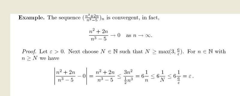
Squence

View attachment 20305

Continuous Functions.

View attachment 20306
 
Physics news on Phys.org
The short answer is that they don't know the details in advance. Using the first problem as an example, you see that for large n, the numerator is essentially n2, while the denominator is essentially n3, so the fraction is roughly 1/n. The rest is just filling in details to make it rigorous.
 
I still don't understand how to get it. :frown:
 
Do you understand that the example, as given, is not an example on how to find the limit but how to prove the limit is correct after you have found it? That is, for the purposes of the example, how the limit, 0, is found, is irrelevant.

The first sequence is
[tex]\left\{\frac{n^2+ 2n}{n^3- 5}\right\}[/tex]
and, as mathman said, for very large n, the highest power in both numerator and denominator will be far larger than the rest so, for large n, the fraction will be close to [itex]n^2/n^3= 1/n[/itex] which goes to 0 as n gets larger and larger.

So we guess that the limit of the given sequence is 0. Then we proceed to show, as in the example, that 0 is, in fact, correct.
 
Last edited by a moderator:
Charles007 said:
I still don't understand how to get it. :frown:

There is no hard and fast rule. Limits are a way of rigorising the art of approximation. Your job is to simplify an expression enough so that you see the general behavior as it approaches some point, and then guess or approximate what happens at that point by comparing it to functions you already know. You can also use the rigor of making sure that there is some number bounding the expression.
This is partially why you studied the behavior of all those different types of functions in precalculus.
 

Similar threads

  • · Replies 3 ·
Replies
3
Views
3K
  • · Replies 12 ·
Replies
12
Views
3K
  • · Replies 1 ·
Replies
1
Views
2K
  • · Replies 36 ·
2
Replies
36
Views
4K
  • · Replies 21 ·
Replies
21
Views
7K
  • · Replies 7 ·
Replies
7
Views
2K
  • · Replies 1 ·
Replies
1
Views
2K
  • · Replies 1 ·
Replies
1
Views
2K
  • · Replies 3 ·
Replies
3
Views
4K
  • · Replies 5 ·
Replies
5
Views
3K