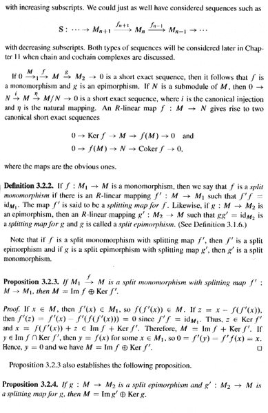
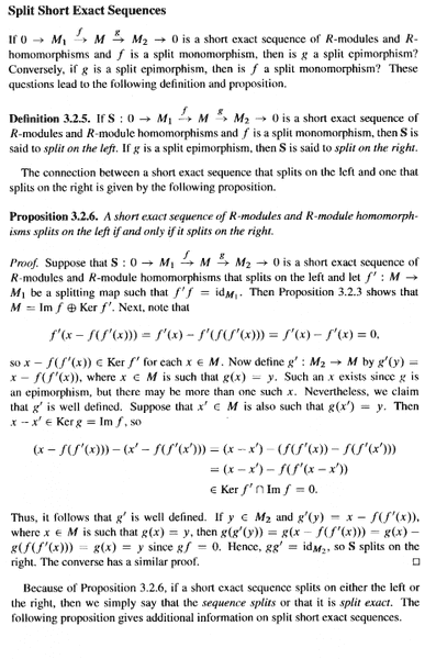
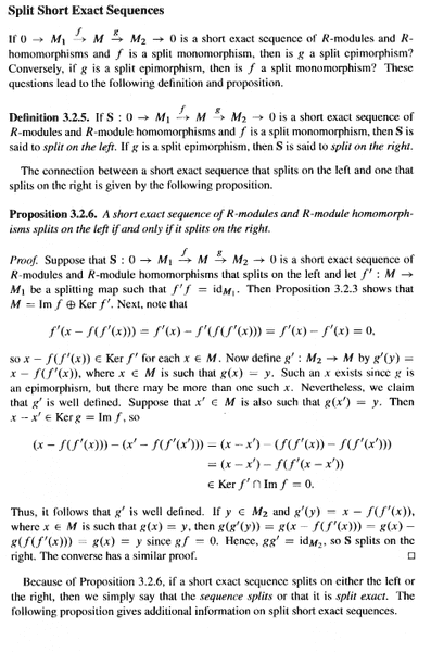
Split Exact Sequences .... Bland, Proposition 3.2.7

  • Context: Undergrad 
  • Thread starter Thread starter Math Amateur
  • Start date Start date
  • Tags Tags
    Sequences Split
Click For Summary

Discussion Overview

The discussion revolves around a potential contradiction between a proposition by Paul Bland regarding split exact sequences and an example provided by Joseph Rotman. Participants explore the conditions under which a short exact sequence is split, particularly in the context of modules and abelian groups.

Discussion Character

  • Debate/contested
  • Technical explanation
  • Mathematical reasoning

Main Points Raised

  • Peter raises a concern about Bland's Proposition 3.2.7, which asserts that if ##M \cong M_1 \oplus M_2##, then the short exact sequence ##0 \to M_1 \stackrel{f}{\to} M \stackrel{g}{\to} M_2 \to 0## is split, and contrasts it with Rotman's Example 2.29, which appears to provide a counterexample.
  • Some participants argue that Rotman's sequence does not satisfy the conditions outlined in Bland's proposition, suggesting that the confusion arises from the notation used in Rotman's example.
  • One participant explains that in the module case, the natural embedding and projection lead to a situation that "almost splits," but this does not hold in the case of groups as shown in Rotman's example.
  • Another participant discusses the implications of the order of elements in the groups involved, noting that the generators of the groups in Rotman's example do not align in a way that would allow the sequence to split.
  • There is a suggestion that if the sequence is defined correctly, it can split, using a modified example with ##\mathbb{Z}_2 \times \mathbb{Z}_2## instead of ##\mathbb{Z}_4##.
  • Some participants express uncertainty about the validity of Bland's proposition, suggesting that it may be false unless further clarified, particularly regarding the maps involved in the isomorphism.
  • One participant asserts that the conditions of the proposition do not necessarily imply the splitting of the sequence, citing examples such as ##\mathbb{Z}_4## and ##\mathbb{Z}_6## as cases where the sequence does not split.

Areas of Agreement / Disagreement

Participants do not reach a consensus. There are competing views regarding the validity of Bland's proposition and the applicability of Rotman's example, with some arguing that the conditions for splitting are not met in Rotman's case, while others suggest that Bland's proof may be flawed.

Contextual Notes

Participants note that the discussion hinges on the precise definitions and conditions outlined in both Bland's and Rotman's works, with some suggesting that the lack of clarity in these definitions contributes to the confusion.

Math Amateur
Gold Member
MHB
Messages
3,920
Reaction score
48
I need help to resolve an apparent contradiction between part of a Proposition proved by Paul Bland in his book "Rings and Their Modules" and an Example provided by Joseph Rotman in his book "An Introduction to Homological Algebra" (Second Edition).

One element of Bland's Proposition 3.2.7 is the assertion (and proof) that

##M \cong M_1 \oplus M_2## ... ...

##\Longrightarrow##

... the short exact sequence

##0 \to M_1 \stackrel{f}{\to} M \stackrel{g}{\to} M_2 \to 0##

is splitHowever ... ...

Rotman in Example 2.29 (page 54) constructs a sequence

##0 \to A \stackrel{i'}{\to} A \oplus M \stackrel{p'}{\to} M \to 0##

which is not split ... ...

Thus Rotman appears to construct a counterexample to Bland's Theorem ...

BUT ...

how can this be ... ... ?

Can someone please resolve this issue ... ?

Help will be very much appreciated ... ...

PeterBland's Proposition 3.2.7 reads as follows:
?temp_hash=2c1d8268f8eef34946d4e3ec008fe796.png


Rotman's Example 2.29 reads as follows:
?temp_hash=2c1d8268f8eef34946d4e3ec008fe796.png

To give readers the necessary Definitions and Propositions on exact sequences in Bland I am providing the following relevant text from Bland ... ...
?temp_hash=2c1d8268f8eef34946d4e3ec008fe796.png

?temp_hash=2c1d8268f8eef34946d4e3ec008fe796.png

?temp_hash=2c1d8268f8eef34946d4e3ec008fe796.png
 

Attachments

  • Bland - Proposition 3.2.7 ... ....png
    Bland - Proposition 3.2.7 ... ....png
    55.6 KB · Views: 990
  • Rotman - AIHA - Example 2.29 - page 54 ... ...    .png
    Rotman - AIHA - Example 2.29 - page 54 ... ... .png
    45.7 KB · Views: 1,127
  • Bland - 1 - Exact Sequences - Page 1 ... ....png
    Bland - 1 - Exact Sequences - Page 1 ... ....png
    44.5 KB · Views: 1,101
  • Bland - 2 - Exact Sequences - Page 2 ... ....png
    Bland - 2 - Exact Sequences - Page 2 ... ....png
    33.9 KB · Views: 1,001
  • Bland - 3 - Exact Sequences - Page 3 ... ....png
    Bland - 3 - Exact Sequences - Page 3 ... ....png
    37.4 KB · Views: 1,067
Physics news on Phys.org
The sequence in Rotman does not satisfy (1) and (2) frmo Bland.
 
  • Like
Likes   Reactions: Math Amateur
I think your confusion is based on Rotman's notation ##0 → S → S \oplus T → T → 0##.
That isn't the case in his example, because ##S \oplus T = A \oplus A = ℤ_2 \oplus ℤ_2 \ncong ℤ_4 = B## (as abelian groups).

In the module case as of Bland's Proposition 3.2.7 you have a natural embedding ##m_1 \mapsto (m_1,0) = m_1 +0## and a natural projection ##m = m_1 + m_2 = (m_1,m_2) \mapsto m_2## which almost splits by looking at it.

This isn't the case with the groups anymore, because Rotman maps the generator ##b## of ##B=ℤ_4## which is of order ##4## onto ##a##, the generator of ##A = ℤ_2## which is of order ##2##.

It is true that ##ℤ_2 \overset{\iota}\rightarrowtail ℤ_4 \overset{\pi}\twoheadrightarrow ℤ_2## defined by ##\iota(a)=2b## and ##\pi(b)=a## is a short exact sequence.
[Assume that it splits. Then there is a group homomorphism ##\sigma : ℤ_2 → ℤ_4## such that ##\pi \sigma = id_{ℤ_2}##.
Now we have ##a=\pi \sigma (a) = \pi (nb) = na## for some ##n##. But this only is true in ##ℤ_2## for ##n=1##, i.e. ##\sigma(a) = 1 \cdot b##. But this implies ##1 = \sigma(1) = \sigma(2a) = \sigma(a) + \sigma(a) = b +b = 2b \neq 1##. Thus the sequence cannot split.]

Things change if we consider ##ℤ_2 \times ℤ_2## instead of ##ℤ_4##.
For better distinction we may write ##A = ℤ_2 = <a \, | \, a^2 = 1 >## as above (only multiplicative) and ##C = ℤ_2 \times ℤ_2 = ℤ_2 \oplus ℤ_2 \cong \{(1),(12),(34),(12)(34)\}## as group of transpositions (permutations of order ##2##).

Now we can define ##ℤ_2 \overset{\iota}\rightarrowtail ℤ_2 \times ℤ_2 \overset{\pi}\twoheadrightarrow ℤ_2## by ##\iota(a)=(12)## and ##\pi(12)=a \, , \, \pi(34)=1##.

This sequence ##A = ℤ_2 \overset{\iota}\rightarrowtail C = ℤ_2 \times ℤ_2 \cong A \oplus A \overset{\pi}\twoheadrightarrow ℤ_2 = A## splits (with ##\sigma(a) =(12) ##) and is the corresponding situation to Bland's Proposition 3.2.7.
 
  • Like
Likes   Reactions: Math Amateur
fresh_42 said:
I think your confusion is based on Rotman's notation ##0 → S → S \oplus T → T → 0##.
That isn't the case in his example, because ##S \oplus T = A \oplus A = ℤ_2 \oplus ℤ_2 \ncong ℤ_4 = B## (as abelian groups).

In the module case as of Bland's Proposition 3.2.7 you have a natural embedding ##m_1 \mapsto (m_1,0) = m_1 +0## and a natural projection ##m = m_1 + m_2 = (m_1,m_2) \mapsto m_2## which almost splits by looking at it.

This isn't the case with the groups anymore, because Rotman maps the generator ##b## of ##B=ℤ_4## which is of order ##4## onto ##a##, the generator of ##A = ℤ_2## which is of order ##2##.

It is true that ##ℤ_2 \overset{\iota}\rightarrowtail ℤ_4 \overset{\pi}\twoheadrightarrow ℤ_2## defined by ##\iota(a)=2b## and ##\pi(b)=a## is a short exact sequence.
[Assume that it splits. Then there is a group homomorphism ##\sigma : ℤ_2 → ℤ_4## such that ##\pi \sigma = id_{ℤ_2}##.
Now we have ##a=\pi \sigma (a) = \pi (nb) = na## for some ##n##. But this only is true in ##ℤ_2## for ##n=1##, i.e. ##\sigma(a) = 1 \cdot b##. But this implies ##1 = \sigma(1) = \sigma(2a) = \sigma(a) + \sigma(a) = b +b = 2b \neq 1##. Thus the sequence cannot split.]

Things change if we consider ##ℤ_2 \times ℤ_2## instead of ##ℤ_4##.
For better distinction we may write ##A = ℤ_2 = <a \, | \, a^2 = 1 >## as above (only multiplicative) and ##C = ℤ_2 \times ℤ_2 = ℤ_2 \oplus ℤ_2 \cong \{(1),(12),(34),(12)(34)\}## as group of transpositions (permutations of order ##2##).

Now we can define ##ℤ_2 \overset{\iota}\rightarrowtail ℤ_2 \times ℤ_2 \overset{\pi}\twoheadrightarrow ℤ_2## by ##\iota(a)=(12)## and ##\pi(12)=a \, , \, \pi(34)=1##.

This sequence ##A = ℤ_2 \overset{\iota}\rightarrowtail C = ℤ_2 \times ℤ_2 \cong A \oplus A \overset{\pi}\twoheadrightarrow ℤ_2 = A## splits (with ##\sigma(a) =(12) ##) and is the corresponding situation to Bland's Proposition 3.2.7.
Micromass, fresh_42,

Thanks for the help ...

fresh_42, you are so right when you write:

" ... ... I think your confusion is based on Rotman's notation ##0 → S → S \oplus T → T → 0##... ... "

Just working through the details of your post ...

Thanks again ...

Peter
 
Math Amateur said:
Just working through the details of your post ...
I've made a little mistake. In order for the last sequence to be exact, it has to be ##\iota(a) = (34)##, the other part of the direct product.
 
  • Like
Likes   Reactions: Math Amateur
without reading the proofs, i think the problem may be that prop. 3.27 seems false unless part 3 is made more precise to include the map giving the isomorphism. to be sure i would have to read Bland's argument. but micromass's remark, and Rotman's example, if correct, seems to already imply that property 3) does not imply either 1) or 2).
 
Last edited:
  • Like
Likes   Reactions: Math Amateur
If we have ##M \cong_\varphi M_1 \oplus M_2## (cond. 3), then ##M_1## and ##M_2## are per definition of ##M## direct factors of ##M##.
Given any short exact sequence ##M_1 \overset{f}\hookrightarrow M_1 \oplus M_2 \overset{g}\twoheadrightarrow M_2## we therefore have up to isomorphism ##im \, f = f(M_1) = \ker g ## as a direct factor of ##M## proving (cond. 1) and (cond. 2). In addition ##M / \ker g =(M_1 \oplus M_2) / M_1 \cong M_2## as well is a direct factor and the split homomorphism ##\sigma## of ##M_2## in ##M## is then the embedding and vice versa.
Having (1) ⇔ (2) and to say the sequence is short exact is somehow tautological.

My thoughts are circling now because it's difficult to distinguish between assumption and conclusion in the sense that it's not clear (to me) whether the sequence is also given or only the fact that it splits. Given (cond. 3) both is clearly true, i.e. embedding and projection define a short exact sequence that splits.

However, the essential part is the following:

A short exact sequence ##A \overset{f}\rightarrowtail C \overset{g}\twoheadrightarrow B## always defines a subobject ##f(A) \subseteq C## and an isomorphism (induced by ##g##) ##C / I am \, f = C / f(A) = C / \ker g \cong B##.
The clue here is (Prop. 3.2.7. evtl. following ones), that ##B## can be seen as a subobject of ##C## if and only if the sequence splits, making ##C## a direct product / sum.

Thus ##\mathbb{Z_4}## is an example for a case where the sequence doesn't split, because ##\mathbb{Z_4} \ncong \mathbb{Z_2} \times \mathbb{Z_2}##. Another example would be ##\mathbb{Z_6}## versus ##\mathcal{Sym}_3## .
 
  • Like
Likes   Reactions: Math Amateur
mathwonk said:
without reading the proofs, i think the problem may be that prop. 3.27 seems false unless part 3 is made more precise to include the map giving the isomorphism. to be sure i would have to read Bland's argument. but micromass's remark, and Rotman's example, if correct, seems to already imply that property 3) does not imply either 1) or 2).

That's right. Bland's proof is incorrect. Specifically, in his proof of (3) => (1), he hasn't justified why a ##w## needs to exists for which ##f(w) = x##. So that is an incorrect step.

If you want your sequence to be split, then you need your entire short exact sequence to be isomorphic to the direct product sequence. Just having that ##M## is isomorphic to a direct sequence is not good enough.
 
  • Like
Likes   Reactions: Math Amateur
thank you micromass for spelling this out. I believe Bland would probably appreciate a note informing him of this error so he can repair it in later editions. good question mr. amateur.
 
  • Like
Likes   Reactions: Math Amateur
  • #10
Thanks so much to fresh_42, micromass and mathwonk for clarifying matters ... ...

The original question was posed by Steenis on the MHB site ...

Peter
 
  • #11
The counter example depends on the group being infinitely generated. What about the same question for a finitely generated R-module? For instance, what about a finite dimensional vector space?

- Also somewhat unrelated but perhaps noteworthy is that for finitely generated groups (not necessarily Z-modules) a split extension may not be a direct product.
 
  • #12
lavinia said:
The counter example depends on the group being infinitely generated. What about the same question for a finitely generated R-module? For instance, what about a finite dimensional vector space?

- Also somewhat unrelated but perhaps noteworthy is that for finitely generated groups (not necessarily Z-modules) a split extension may not be a direct product.

Yes, it will be true for finitely generated ##R##-modules where ##R## is a Noetherian ring. In particular, it is true for all finite-dimensional vector spaces. Let me see if I can find a good reference.
 

Similar threads

  • · Replies 25 ·
Replies
25
Views
4K
Replies
2
Views
2K
Replies
36
Views
7K
  • · Replies 9 ·
Replies
9
Views
2K
  • · Replies 4 ·
Replies
4
Views
2K
  • · Replies 2 ·
Replies
2
Views
1K
  • · Replies 3 ·
Replies
3
Views
2K
  • · Replies 4 ·
Replies
4
Views
2K
  • · Replies 3 ·
Replies
3
Views
2K
  • · Replies 2 ·
Replies
2
Views
1K