Square Root Simplified: Understanding the Result as a Single Nonnegative Number

Click For Summary

Discussion Overview

The discussion revolves around the simplification of square roots in mathematical expressions, particularly focusing on how certain terms cancel out and the implications of taking square roots. Participants explore the algebraic manipulations involved and the interpretation of results as single nonnegative numbers versus multiple values.

Discussion Character

  • Mathematical reasoning
  • Conceptual clarification
  • Debate/contested

Main Points Raised

  • Some participants inquire about the equality of expressions and seek clarification on how certain terms simplify to yield a final result.
  • One participant suggests that the cancellation of terms leads to a simplification that results in a square root expression.
  • There is a discussion about whether the simplification leads to a single nonnegative number or retains multiple values, with one participant asserting that the result should be |v| instead of ±v.
  • Several participants engage in back-and-forth questioning regarding the interpretation of the square root and the implications of the terms involved.

Areas of Agreement / Disagreement

Participants express differing views on the final interpretation of the square root result, with some advocating for a single nonnegative outcome and others suggesting the retention of both positive and negative roots. The discussion remains unresolved regarding the correct interpretation of the simplification process.

Contextual Notes

There are unresolved assumptions regarding the treatment of square roots and the conditions under which certain terms are canceled. The discussion also highlights the dependence on definitions of terms like "root" and "cancellation" in the context of the expressions being analyzed.

lioric
Messages
335
Reaction score
26
relativistic 4.jpg

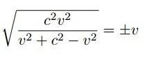
How is it equal to v in the end?
I'm sorry for asking such questions. But I'm just trying to understand
 
Mathematics news on Phys.org
Because addition is associative and commutative and ##c^2≠0##. For short: just calculate the left hand side.
 
Can you simplify the denominator?
 
DrClaude said:
Can you simplify the denominator?
Dear god I must be blind
v^2-v^2 = 0
c^2 and c^2 cancels
And all that's left is a rooted v^2 which cancels itself

But look at this
relativistic 5.jpg

This is how the same solution is illustrated in another book.
(1-u^2/c^2) cancels each other
The u^2 subtracts each other in the denominator like in the previous sollution
Which leaves a rooted u^2 / c^2
How does that simplify?
 
lioric said:
Which leaves a rooted u^2 / c^2
How does that simplify?
Look to the left of the square root sign...
 
DrClaude said:
Look to the left of the square root sign...
I can see the c root What does it mean?
 
lioric said:
I can see the c root What does it mean?
No, it's c times the root.
 
DrClaude said:
No, it's c times the root.
So are you saying that the large root will cancel the squares of u^2 / c^2 making it like u / c * c/1
and c and c cancels?
 
lioric said:
So are you saying that the large root will cancel the squares of u^2 / c^2 making it like u / c * c/1
and c and c cancels?
Yes. Note that the author there takes only the positive root, while in the OP the two roots are kept.
 
  • #10
DrClaude said:
Yes. Note that the author there takes only the positive root, while in the OP the two roots are kept.
Thank you very much
 
  • #11
lioric said:
View attachment 96291
How is it equal to v in the end?
I'm sorry for asking such questions. But I'm just trying to understand
This is actually incorrect. On the right side it should be |v|, not ##\pm v##. In other words, the square root evaluates to a single nonnegative number, not two numbers.
 

Similar threads

Replies
2
Views
2K
  • · Replies 3 ·
Replies
3
Views
1K
  • · Replies 2 ·
Replies
2
Views
2K
  • · Replies 25 ·
Replies
25
Views
5K
  • · Replies 10 ·
Replies
10
Views
3K
  • · Replies 6 ·
Replies
6
Views
2K
  • · Replies 18 ·
Replies
18
Views
5K
  • · Replies 10 ·
Replies
10
Views
3K
  • · Replies 7 ·
Replies
7
Views
3K
  • · Replies 13 ·
Replies
13
Views
6K