Standing question - real straightforward- Workings given

  • Thread starter Thread starter elemis
  • Start date Start date
Click For Summary
SUMMARY

The discussion centers on the calculation of harmonic frequencies in a wave represented by the parameters W=27.2, K=15.71, and A=0.1. The calculated harmonic value of 4.5 is deemed impossible since the harmonic number (n) must be an integer. The user identifies the wave's characteristics, noting a node at one end and an antinode at the other, and calculates the wavelength as 0.4 using the formula K=2π/λ. The user seeks clarification on their assumptions regarding the wave's properties.

PREREQUISITES
  • Understanding of wave mechanics and harmonic frequencies
  • Familiarity with the concepts of nodes and antinodes in standing waves
  • Knowledge of the relationship between wave number (K) and wavelength (λ)
  • Basic proficiency in mathematical calculations involving trigonometric functions
NEXT STEPS
  • Study the principles of standing waves and their harmonic series
  • Learn about the mathematical derivation of wave properties from wave equations
  • Explore the implications of integer harmonics in physical systems
  • Investigate the relationship between wave number and wavelength in greater detail
USEFUL FOR

Physics students, educators, and anyone involved in the study of wave mechanics and harmonic analysis in physical systems.

elemis
Messages
162
Reaction score
1
ImageUploadedByPhysics Forums1366811696.291632.jpg


W= 27.2

K=15.71

A=0.1

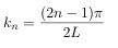
Now to determine the harmonic.

ImageUploadedByPhysics Forums1366812499.446125.jpg


This formula gives the harmonic to be 4.5. This can't be possible since n has to be an integer.

I realize this wave has a node at one end and an anti node at the other.

I also realize that this wave on the string has a wavelength =0.4 by using K=2pi/lambdaWhat do I do ? :(
 
Physics news on Phys.org
Or am I wrong in assuming this is a wave has a node at one end and an anti node at the other ?
 

Similar threads

  • · Replies 5 ·
Replies
5
Views
7K
Replies
5
Views
1K
  • · Replies 6 ·
Replies
6
Views
2K
  • · Replies 4 ·
Replies
4
Views
2K
  • · Replies 4 ·
Replies
4
Views
5K
  • · Replies 4 ·
Replies
4
Views
2K
  • · Replies 10 ·
Replies
10
Views
3K
  • · Replies 6 ·
Replies
6
Views
2K
  • · Replies 4 ·
Replies
4
Views
3K
  • · Replies 21 ·
Replies
21
Views
4K