State Space Model of an RL Circuit

Click For Summary
SUMMARY

The discussion centers on deriving a state-space model for an RL circuit with input v(t) and output vL(t). The user initially applied Kirchhoff's Current Law (KCL) in the time domain to develop a state-space model, then used mesh analysis to derive a transfer function. Discrepancies between the two transfer functions indicate potential errors in either the state-space analysis or the mesh analysis. The community suggests reviewing the time-domain method for possible omissions, specifically regarding the V(t) term.

PREREQUISITES
  • Understanding of state-space representation in control systems
  • Familiarity with Kirchhoff's Current Law (KCL)
  • Knowledge of mesh analysis in electrical circuits
  • Basic concepts of transfer functions and their derivation
NEXT STEPS
  • Review the derivation of state-space models for RL circuits
  • Study the application of Kirchhoff's Current Law (KCL) in time-domain analysis
  • Learn about mesh analysis techniques for circuit analysis
  • Explore the relationship between state-space models and transfer functions
USEFUL FOR

Electrical engineering students, circuit designers, and anyone involved in control systems analysis and design.

YoshiMoshi
Messages
233
Reaction score
10

Homework Statement



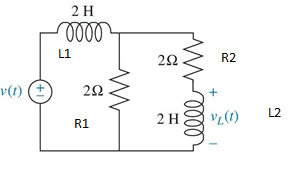
For the given circuits, identify state variables and derive a state-space model for each.
Assume the input is v(t) and the output is vL(t).

?temp_hash=789bcbcf59cf1f147b80c7cf8fd7cf6f.png


Homework Equations

The Attempt at a Solution


[/B]
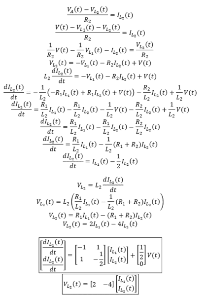
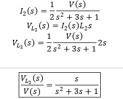
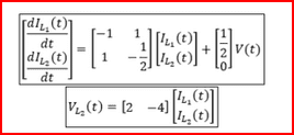
So my issue is that I solved this problem using two different methods. First method I used was trying to find the state space model directly using KCL in the time domain. I then took my state space model used derived using this method and found the transfer function. I then found the transfer function directly using mesh analysis. For some reason I got two different transfer functions. So that means either my state space analysis from my first method was incorrect, or the second transfer function I found using mesh analysis was incorrect. I'm not exactly sure what I did was incorrect, my transfer function using mesh analysis, or my state space analysis. Any help would be greatly appreciated.
Equations 1.PNG

Equations 2.PNG


Equations 3.PNG

Equations 4.PNG

Equations 5.PNG
 

Attachments

  • Figure.png
    Figure.png
    5.5 KB · Views: 677
  • Equations 1.PNG
    Equations 1.PNG
    19 KB · Views: 1,285
  • Equations 2.PNG
    Equations 2.PNG
    19.1 KB · Views: 963
  • Equations 3.PNG
    Equations 3.PNG
    14.7 KB · Views: 966
  • Equations 4.PNG
    Equations 4.PNG
    24.2 KB · Views: 942
  • Equations 5.PNG
    Equations 5.PNG
    2.3 KB · Views: 890
  • ?temp_hash=789bcbcf59cf1f147b80c7cf8fd7cf6f.png
    ?temp_hash=789bcbcf59cf1f147b80c7cf8fd7cf6f.png
    5.5 KB · Views: 1,233
Physics news on Phys.org
The form of your answer using the 2nd method looks correct (bandpass filter), but I didn't check the math in detail
upload_2018-10-11_13-36-56.png

But it seems like you dropped a V(t) term in you answer using the first time-domain method? (Or I could be missing something)...
upload_2018-10-11_13-38-30.png
 

Attachments

  • upload_2018-10-11_13-36-56.png
    upload_2018-10-11_13-36-56.png
    1.2 KB · Views: 773
  • upload_2018-10-11_13-38-30.png
    upload_2018-10-11_13-38-30.png
    3.5 KB · Views: 775

Similar threads

Replies
7
Views
2K
Replies
5
Views
991
  • · Replies 9 ·
Replies
9
Views
2K
Replies
6
Views
3K
Replies
12
Views
3K
  • · Replies 13 ·
Replies
13
Views
3K
  • · Replies 40 ·
2
Replies
40
Views
5K
  • · Replies 9 ·
Replies
9
Views
2K
  • · Replies 9 ·
Replies
9
Views
1K
  • · Replies 12 ·
Replies
12
Views
2K