Statistics/Probability: Joint Densities

  • Thread starter Thread starter ak416
  • Start date Start date
  • Tags Tags
    Joint
Click For Summary
SUMMARY

The discussion focuses on solving joint probability density function (pdf) problems using double integrals. The joint pdf given is f_X,Y(x,y) = 2e^-(x+y) for the region defined by 0 < x < y and 0 < y. The participants detail the method for calculating P(Y < 3X) and P(X < 2Y), emphasizing the importance of correctly setting up the boundaries of integration. The correct approach involves integrating over the specified regions, demonstrating that there are multiple valid ways to set up the double integrals.

PREREQUISITES
  • Understanding of joint probability density functions
  • Knowledge of double integrals in multivariable calculus
  • Familiarity with the concept of probability regions
  • Basic skills in evaluating integrals
NEXT STEPS
  • Study the properties of joint probability density functions
  • Learn to set up and evaluate double integrals in various coordinate systems
  • Explore the concept of transforming random variables in probability theory
  • Investigate the applications of joint distributions in statistical analysis
USEFUL FOR

Students in multivariable calculus, statisticians, and anyone interested in understanding joint probability distributions and their applications in probability theory.

ak416
Messages
121
Reaction score
0
Ok Whats the general way to solve problems such as these?
-Let X and Y have the joint pdf f_X,Y(x,y) = 2e^-(x+y) , 0 < x < y, 0 < y
Find P(Y < 3X).
-Find P(X < 2Y) if f_X,Y(x,y) = x + y for X and Y defined over the unit interval (meaning from 0 to 1).
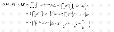
I know you have to set up the double integral, like for the first one the answer is:
answer1.GIF

but P(Y < 3X) => P(x > 1/3Y) so why can't you take the integral from 1/3Y to Y wrt X (because x has to be smaller than y) and the integral from 0 to infinity with respect to y (because y has to be greater than 0)?
Note:I am currently taking a multivariable calculus course and I haven't gotten to multi-integration yet, so i would just like to know the general method for determining the boundaries of integration.
I also have other questions (about Transforming random variables) but ill save those for later, I would like to understand this first.
Thanks.
 
Physics news on Phys.org
You can. And you would get the same answer.

In the xy-plane, 0< x< y, 0< y is infinite triangle between the y-axis and the line y= x. In order to be a probability density over that region, the integral of 2e^-(x+y) over that region must be 1.
In subset of that region such that y< 3x is the infinite triangle between the lines y= 3x and y= x. P(Y< 3X) is the integeral of 2e^-(x+y) over that region.
There are always two ways of setting up a double integral over a region like that. We can take the outer integral in y taking y going from 0 to infinity. For each such y, a horizontal line in that region must go from y= 3x to y=x which is equivalent to x ranging from y/3 up to y. The probability is
[tex]2\int_{y= 0}^\infty\int_{x= y/3}^y e^{-(x+y)}dxdy[/tex]

But you could also take the outer integral to be in terms of x, with x running form 0 to infinity. In that case, for each x, a vertical line covering the region would have y running from x to 3x. The probability is
[tex]2\int_{x=0}^\infty\int_{y= x}^{3x} e^{-(x+y)}dydx[/tex]
 
Thanks, that really helped me visualize what's going on. But what about about the second problem, find P(X < 2y)... either my computations are wrong or integral from 0 to 1 wrt y and integral from 0 to 2y wrt x (with the pdf in between) is wrong. (Gives me a probability of 4/3). and Why?
 

Similar threads

Replies
7
Views
1K
  • · Replies 12 ·
Replies
12
Views
2K
  • · Replies 4 ·
Replies
4
Views
2K
  • · Replies 3 ·
Replies
3
Views
1K
  • · Replies 8 ·
Replies
8
Views
1K
Replies
5
Views
1K
  • · Replies 6 ·
Replies
6
Views
1K
  • · Replies 19 ·
Replies
19
Views
4K
  • · Replies 25 ·
Replies
25
Views
2K
  • · Replies 14 ·
Replies
14
Views
2K