Success: Solving #17 and #22 - A Guide

  • Context: MHB 
  • Thread starter Thread starter missnerdist
  • Start date Start date
Click For Summary

Discussion Overview

The thread discusses the problem-solving process for two specific mathematical problems, labeled #17 and #22. The focus is on understanding trigonometric concepts and applying them to find solutions, with participants sharing hints and corrections as they work through the problems.

Discussion Character

  • Homework-related
  • Mathematical reasoning
  • Technical explanation

Main Points Raised

  • One participant notes the relationship $\tan{\theta}=\dfrac{y}{x}$ as relevant to the problems.
  • Another participant describes point P's location on the negative y-axis and identifies the angle as $\dfrac{3\pi}{2}$, mentioning that its cosine is zero.
  • A participant expresses uncertainty about the answer to #17, initially suggesting the coordinates (-5,3) but later questioning this conclusion.
  • Hints are provided to simplify fractions as part of the problem-solving process.
  • Participants share their progress, with one confirming they solved #8 and another stating they successfully solved the problems after receiving help.

Areas of Agreement / Disagreement

There is no clear consensus on the solution to #17, as participants express uncertainty and differing thoughts on the correct answer. Multiple viewpoints and approaches are presented without resolution.

Contextual Notes

Some assumptions about the problems and their solutions remain unexamined, and there are unresolved mathematical steps that participants reference but do not fully clarify.

missnerdist
Messages
6
Reaction score
0

Attachments

  • Ch4quiz22.PNG
    Ch4quiz22.PNG
    4.2 KB · Views: 114
Last edited:
Mathematics news on Phys.org
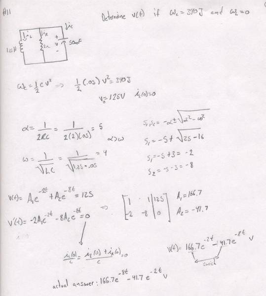
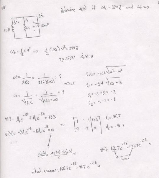
#17 ...

note $\tan{\theta}=\dfrac{y}{x}$

#22 ...

Point P is on the negative y-axis ... the angle measured CCW from the positive x-axis to that part of the y-axis is $\dfrac{3\pi}{2}$, an angle whose cosine is zero.

fyi, the secant of an angle is the reciprocal of its cosine value.

edit ... looks like you've lengthened the laundry list.
 
skeeter said:
#17 ...

note $\tan{\theta}=\dfrac{y}{x}$

#22 ...

Point P is on the negative y-axis ... the angle measured CCW from the positive x-axis to that part of the y-axis is $\dfrac{3\pi}{2}$, an angle whose cosine is zero.

fyi, the secant of an angle is the reciprocal of its cosine value.

edit ... looks like you've lengthened the laundry list.

I got #8! :D

- - - Updated - - -

skeeter said:
#17 ...

note $\tan{\theta}=\dfrac{y}{x}$

#22 ...

Point P is on the negative y-axis ... the angle measured CCW from the positive x-axis to that part of the y-axis is $\dfrac{3\pi}{2}$, an angle whose cosine is zero.

fyi, the secant of an angle is the reciprocal of its cosine value.

edit ... looks like you've lengthened the laundry list.

For #17, I'm not too sure. At first I thought that the answer would be (-5,3), but it seems that it isn't the case.
 
missnerdist said:
For #17, I'm not too sure. At first I thought that the answer would be (-5,3), but it seems that it isn't the case.

hint ... simplify a fraction
 
skeeter said:
hint ... simplify a fraction

I got it! Thanks!
 

Similar threads

Replies
1
Views
1K
  • · Replies 2 ·
Replies
2
Views
1K
Replies
4
Views
2K
  • · Replies 1 ·
Replies
1
Views
2K
  • · Replies 4 ·
Replies
4
Views
2K
  • · Replies 4 ·
Replies
4
Views
2K
  • · Replies 1 ·
Replies
1
Views
2K
  • · Replies 1 ·
Replies
1
Views
2K
  • · Replies 4 ·
Replies
4
Views
2K
  • · Replies 2 ·
Replies
2
Views
3K