Sum of Infinite Series: Find 1/sqrt(2)

Click For Summary
SUMMARY

The discussion centers on finding the sum of the infinite series that equals 1/sqrt(2). The user initially attempted the ratio test but found it unhelpful. A key insight provided is that the series in question is the power series expansion for cos(π/4), specifically represented as ∑_{n=0}^∞ (-1)^n/(2n)! (π/4)^{2n}. This aligns with the standard power series for cos(x), confirming the result of 1/sqrt(2>.

PREREQUISITES
  • Understanding of infinite series and convergence tests
  • Familiarity with power series expansions
  • Knowledge of trigonometric functions and their series representations
  • Proficiency in mathematical notation and summation conventions
NEXT STEPS
  • Study the ratio test for convergence of series in detail
  • Explore power series expansions for other trigonometric functions
  • Learn about Taylor series and their applications
  • Investigate the relationship between trigonometric functions and their limits
USEFUL FOR

Students and educators in mathematics, particularly those focused on calculus and series analysis, as well as anyone seeking to deepen their understanding of infinite series and trigonometric functions.

Umar
Messages
36
Reaction score
0
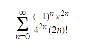
Hey guys! I just have a question regarding finding the sum of an infinite series. Attached is the image of the question. I've tried to use the ratio test but it doesn't give me the result I need which happens to be 1/sqrt(2). I feel like this is one of those power series questions, but I'm not quite sure how to deal with this. If anyone could help out, that would be greatly appreciated!

View attachment 6430
 

Attachments

  • find the sum of the following series.png
    find the sum of the following series.png
    1.5 KB · Views: 163
Physics news on Phys.org
Umar said:
Hey guys! I just have a question regarding finding the sum of an infinite series. Attached is the image of the question. I've tried to use the ratio test but it doesn't give me the result I need which happens to be 1/sqrt(2). I feel like this is one of those power series questions, but I'm not quite sure how to deal with this. If anyone could help out, that would be greatly appreciated!
This is just the power series expansion for $\cos\frac\pi4.$
 
This is [tex]\sum_{n=0}^\infty \frac{(-1)^n}{(2n)!}\left(\frac{\pi}{4}\right)^{2n}[/tex]

Compare that to the power series for cos(x), [tex]\sum_{n=0}^\infty \frac{(-1)^n}{(2n)!}x^{2n}[/tex] to get Opalg's result.
 
Last edited by a moderator:

Similar threads

  • · Replies 7 ·
Replies
7
Views
3K
  • · Replies 7 ·
Replies
7
Views
2K
  • · Replies 7 ·
Replies
7
Views
2K
  • · Replies 5 ·
Replies
5
Views
3K
  • · Replies 6 ·
Replies
6
Views
2K
  • · Replies 3 ·
Replies
3
Views
3K
  • · Replies 5 ·
Replies
5
Views
2K
  • · Replies 4 ·
Replies
4
Views
2K
  • · Replies 3 ·
Replies
3
Views
4K
  • · Replies 2 ·
Replies
2
Views
2K