Tensors & the Alternation Operator .... Browder, Propn 12.25

  • Context: Undergrad 
  • Thread starter Thread starter Math Amateur
  • Start date Start date
  • Tags Tags
    Operator Tensors
Click For Summary

Discussion Overview

The discussion revolves around understanding Proposition 12.2 from Andrew Browder's "Mathematical Analysis: An Introduction," specifically focusing on the proof involving the alternation operator and the tensor product of multilinear forms. Participants are examining the implications of a permutation operator, denoted as ##\sigma##, and its effect on the tensors involved.

Discussion Character

  • Technical explanation
  • Debate/contested
  • Mathematical reasoning

Main Points Raised

  • One participant questions the validity of the statement ##\beta \otimes \alpha = {}^\sigma(\alpha \otimes \beta)## as presented in Browder's proof, providing their own calculations to support their confusion.
  • Another participant provides a step-by-step continuation of the calculations, suggesting that the original assertion can be shown to hold true if taken further.
  • A participant raises a concern regarding the rank of the tensors involved, questioning how a rank ##r## tensor can be expressed with ##s## input vectors.
  • There is a proposal that the definition of the permutation operator ##\sigma## may have been misunderstood, leading to different interpretations of its application in the proof.
  • One participant suggests that Browder may have made an error in the proof regarding the definition of ##\sigma##, proposing an alternative permutation that they believe would correct the assertion without undermining the proof's integrity.

Areas of Agreement / Disagreement

Participants express differing views on the correctness of Browder's proof and the application of the permutation operator. While some suggest that the proof can be salvaged with minor corrections, others remain uncertain about the implications of the definitions and calculations presented.

Contextual Notes

Participants note that the discussion hinges on the precise definitions and assumptions regarding the permutation operator and the ranks of the tensors involved, which remain unresolved. The implications of these definitions on the proof's validity are still under examination.

Math Amateur
Gold Member
MHB
Messages
3,920
Reaction score
48
I am reading Andrew Browder's book: "Mathematical Analysis: An Introduction" ... ...

I am currently reading Chapter 12: Multilinear Algebra ... ...

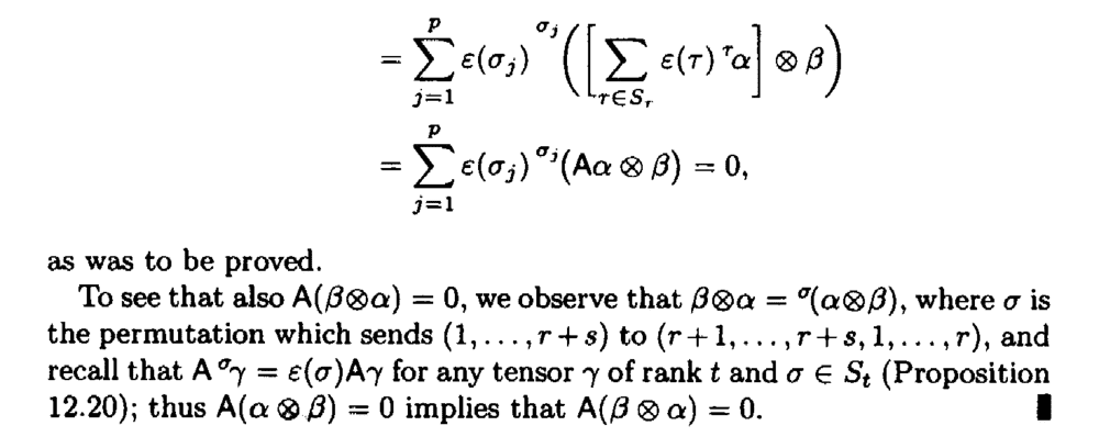
I need some help in order to fully understand the proof of Proposition 12.2 on pages 277 - 278 ... ...Proposition 12.2 and its proof read as follows:
?temp_hash=2b124d2f5f463b0c168940189165f6c1.png

?temp_hash=2b124d2f5f463b0c168940189165f6c1.png

In the above proof by Browder (near the end of the proof) we read the following:

" ... ... To see also that ##A( \beta \otimes \alpha ) = 0##, we observe that ## \beta \otimes \alpha = \ ^{ \sigma }( \alpha \otimes \beta )## where ##\sigma## is the permutation which sends ##(1, \cdot \cdot \cdot , r+s )## to ##(r+1, \cdot \cdot \cdot , r+s, 1 \cdot \cdot \cdot , r )## ... ... "My question ... or more accurately problem ... is that given ##\sigma## as defined by Browder I cannot verify that ##\beta \otimes \alpha = \ ^{ \sigma }( \alpha \otimes \beta )## is true ...My working is as follows:

Let ##\alpha \in \bigwedge^r## and let ##\beta \in \bigwedge^s## ... ...

Then we have ...

##\beta \otimes \alpha (v_1, \cdot \cdot \cdot , v_{ r+s } ) = \beta ( v_1, \cdot \cdot \cdot , v_s ) \alpha ( v_{ s+1 }, \cdot \cdot \cdot , v_{ r+s } )##

and

##\alpha \otimes \beta (v_1, \cdot \cdot \cdot , v_{ r+s } ) = \alpha ( v_1 , \cdot \cdot \cdot , v_r ) \beta ( v_{ r+1 }, \cdot \cdot \cdot , v_{ r+s } )##Now consider ##\sigma## where ...

... ##\sigma## sends ##(1, \cdot \cdot \cdot , r+s )## to ##(r+1, \cdot \cdot \cdot , r+s, 1 \cdot \cdot \cdot , r )##We have

##^{ \sigma } ( \alpha \otimes \beta ) (v_1, \cdot \cdot \cdot , v_{ r+s } )##

##= \alpha \otimes \beta ( v_{ r+1 }, \cdot \cdot \cdot , v_{ r+s }, v_1, \cdot \cdot \cdot , v_r )## ... ... hmm ... this does not appear to be correct ...BUT ... ... if we consider ##\sigma_1## where ...

... ##\sigma_1## sends ##(1, \cdot \cdot \cdot , r+s )## to ##(s+1, \cdot \cdot \cdot , r+s, 1 \cdot \cdot \cdot , s )##

then we have

##^{ \sigma_1 } ( \alpha \otimes \beta ) (v_1, \cdot \cdot \cdot , v_{ r+s } )##

##= ( \alpha \otimes \beta ) ( v_{ s+1 }, \cdot \cdot \cdot , v_{ r+s }, v_1, \cdot \cdot \cdot , v_s )##

##= \alpha ( v_{ s+1 }, \cdot \cdot \cdot , v_{ r+s } ) \beta ( v_1, \cdot \cdot \cdot , v_s )##

##= \beta \otimes \alpha## ...
Given that my working differs from Browder ... I suspect I have made an error ...

Can someone please point out the error(s) in my working ...
Help will be much appreciated ...

Peter
 

Attachments

  • Browder - 1 - Proposition 12.25  ... ... PART 1 .png
    Browder - 1 - Proposition 12.25 ... ... PART 1 .png
    29.6 KB · Views: 433
  • Browder - 2 - Proposition 12.25  ... ... PART 2 .png
    Browder - 2 - Proposition 12.25 ... ... PART 2 .png
    23.3 KB · Views: 406
  • ?temp_hash=2b124d2f5f463b0c168940189165f6c1.png
    ?temp_hash=2b124d2f5f463b0c168940189165f6c1.png
    29.6 KB · Views: 549
  • ?temp_hash=2b124d2f5f463b0c168940189165f6c1.png
    ?temp_hash=2b124d2f5f463b0c168940189165f6c1.png
    23.3 KB · Views: 533
Physics news on Phys.org
Math Amateur said:
Let ##\alpha \in \bigwedge^r## and let ##\beta \in \bigwedge^s## ... ...

Then we have ...

##\beta \otimes \alpha (v_1, \cdot \cdot \cdot , v_{ r+s } ) = \beta ( v_1, \cdot \cdot \cdot , v_s ) \alpha ( v_{ s+1 }, \cdot \cdot \cdot , v_{ r+s } )##

and

##\alpha \otimes \beta (v_1, \cdot \cdot \cdot , v_{ r+s } ) = \alpha ( v_1 , \cdot \cdot \cdot , v_r ) \beta ( v_{ r+1 }, \cdot \cdot \cdot , v_{ r+s } )##Now consider ##\sigma## where ...

... ##\sigma## sends ##(1, \cdot \cdot \cdot , r+s )## to ##(r+1, \cdot \cdot \cdot , r+s, 1 \cdot \cdot \cdot , r )##We have

##^{ \sigma } ( \alpha \otimes \beta ) (v_1, \cdot \cdot \cdot , v_{ r+s } )##

##= \alpha \otimes \beta ( v_{ r+1 }, \cdot \cdot \cdot , v_{ r+s }, v_1, \cdot \cdot \cdot , v_r )## ... ... hmm ... this does not appear to be correct ...
It's fine. Just take it a few lines further:

\begin{align*}
{}^\sigma(\alpha\otimes\beta) (v_1, \cdot \cdot \cdot v_{ r+s })
&=
\alpha \otimes \beta ( v_{ r+1 }, \cdot \cdot \cdot , v_{ r+s }, v_1, \cdot \cdot \cdot , v_r )\\
&=
\alpha( v_{ r+1 }, \cdot \cdot \cdot , v_{ r+s }) \beta (v_1, \cdot \cdot \cdot , v_r )\\
&=
\beta (v_1, \cdot \cdot \cdot , v_r )\alpha( v_{ r+1 }, \cdot \cdot \cdot , v_{ r+s })\\
&=
\beta\otimes\alpha (v_1, \cdot \cdot \cdot , v_r, v_{ r+1 }, \cdot \cdot \cdot , v_{ r+s })\\
&=
\beta\otimes\alpha (v_1, \cdot \cdot \cdot v_{ r+s })
\end{align*}
 
  • Like
Likes   Reactions: Math Amateur
andrewkirk said:
It's fine. Just take it a few lines further:

\begin{align*}
{}^\sigma(\alpha\otimes\beta) (v_1, \cdot \cdot \cdot v_{ r+s })
&=
\alpha \otimes \beta ( v_{ r+1 }, \cdot \cdot \cdot , v_{ r+s }, v_1, \cdot \cdot \cdot , v_r )\\
&=
\alpha( v_{ r+1 }, \cdot \cdot \cdot , v_{ r+s }) \beta (v_1, \cdot \cdot \cdot , v_r )\\
&=
\beta (v_1, \cdot \cdot \cdot , v_r )\alpha( v_{ r+1 }, \cdot \cdot \cdot , v_{ r+s })\\
&=
\beta\otimes\alpha (v_1, \cdot \cdot \cdot , v_r, v_{ r+1 }, \cdot \cdot \cdot , v_{ r+s })\\
&=
\beta\otimes\alpha (v_1, \cdot \cdot \cdot v_{ r+s })
\end{align*}
Thanks Andrew ...

Appreciate your help ...

BUT ... just a clarification ...

You write:##^\sigma(\alpha\otimes\beta) (v_1, \cdot \cdot \cdot v_{ r+s })##

## = \alpha \otimes \beta ( v_{ r+1 }, \cdot \cdot \cdot , v_{ r+s }, v_1, \cdot \cdot \cdot , v_r )##

## = \alpha( v_{ r+1 }, \cdot \cdot \cdot , v_{ r+s }) \beta (v_1, \cdot \cdot \cdot , v_r )##

Here you have the multilinear function (tensor) ##\alpha## with ##s## variables ...

... but ##\alpha## is of rank ##r## ... ?

Can you clarify ... ?
 
It's possible that what the author means by ##{}^\sigma(\alpha\otimes\beta)## is the converse of what I had assumed.

What is your understanding of what the author wants the ##\sigma## operator to mean? Under the author's definitions, do we have, for a tensor ##\eta## or rank ##m##:

$$({}^\sigma(\eta))(v_1,...,v(m)) = \eta(\sigma(v_1),...,\sigma(v_m))$$
or
$$({}^\sigma(\eta))(v_1,...,v(m)) = \eta(\sigma^{-1}(v_1),...,\sigma^{-1}(v_m))$$

If it's the latter then the proof works - but what you and I have written will need to be rewritten. If not, it doesn't.
 
  • Like
Likes   Reactions: Math Amateur
andrewkirk said:
It's possible that what the author means by ##{}^\sigma(\alpha\otimes\beta)## is the converse of what I had assumed.

What is your understanding of what the author wants the ##\sigma## operator to mean? Under the author's definitions, do we have, for a tensor ##\eta## or rank ##m##:

$$({}^\sigma(\eta))(v_1,...,v(m)) = \eta(\sigma(v_1),...,\sigma(v_m))$$
or
$$({}^\sigma(\eta))(v_1,...,v(m)) = \eta(\sigma^{-1}(v_1),...,\sigma^{-1}(v_m))$$

If it's the latter then the proof works - but what you and I have written will need to be rewritten. If not, it doesn't.

Hi Andrew ...

Thanks again for your help ...The definition of ##^{\sigma} \alpha## is definition 12.17 on page 274 of Browder and reads as follows:12.17 Definition. Let ##\alpha## be a tensor of rank ##r## and ##\sigma \in S_r##. We define a new tensor ##^{\sigma} \alpha## of rank ##r## by the formula

## ^{\sigma} \alpha ( v_1, \cdot \cdot \cdot , v_r ) = \alpha ( v_{ \sigma(1) }, \cdot \cdot \cdot , v_{ \sigma(r) } ) ##

for all ##v_1, \cdot \cdot \cdot , v_r \in V##
... so it is your first possibility ...

But .. I think that that leaves us with the same problem of a rank ##r## tensor expressed with ##s## input vectors ...

Can you resolve this difficulty ... or is Browder in error with his description of ##\sigma## ... ?Can you please help further ...

Peter
 
Thanks for that.

Given that definition, I think the author has got a key line the wrong way around in his proof. It doesn't wreck the proof. It just needs correction.

I think, at the bottom, where he wrote

Browder said:
##\beta\otimes\alpha = {}^\sigma(\alpha\otimes\beta)##, where ##\sigma## is the permutation which sends ##(1, ...,r+s)## to ##(r+1, ...,r+s,1,...,r))##

he should have written

"where ##\sigma## is the permutation which sends ##(1, ...,r+s)## to ##(s+1, ...,r+s,1,...,s))##"

I haven't checked it, but I feel pretty confident that that amendment will not derail his proof.
 
  • Like
Likes   Reactions: Math Amateur
andrewkirk said:
Thanks for that.

Given that definition, I think the author has got a key line the wrong way around in his proof. It doesn't wreck the proof. It just needs correction.

I think, at the bottom, where he wrote
he should have written

"where ##\sigma## is the permutation which sends ##(1, ...,r+s)## to ##(s+1, ...,r+s,1,...,s))##"

I haven't checked it, but I feel pretty confident that that amendment will not derail his proof.
Thanks Andrew ...

That resolves the issue ...

Thanks again ...

Peter
 

Similar threads

  • · Replies 2 ·
Replies
2
Views
3K
  • · Replies 1 ·
Replies
1
Views
3K
  • · Replies 6 ·
Replies
6
Views
3K
  • · Replies 3 ·
Replies
3
Views
3K
  • · Replies 2 ·
Replies
2
Views
2K
  • · Replies 6 ·
Replies
6
Views
3K
  • · Replies 1 ·
Replies
1
Views
3K
  • · Replies 2 ·
Replies
2
Views
3K
  • · Replies 8 ·
Replies
8
Views
3K
  • · Replies 7 ·
Replies
7
Views
2K