etotheipi
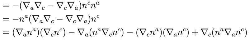
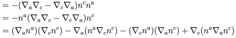
In a globally hyperbolic spacetime you have a global time ##t: M \longrightarrow \mathbf{R}## which foliates it into Cauchy surfaces ##\Sigma_t## and the metric can be written ##\mathrm{d}s^2 = -N^2 \mathrm{d}t^2 + h_{ij}(\mathrm{d}x^i + N^i \mathrm{d}t)(\mathrm{d}x^j + N^j \mathrm{d}t)##. By Gauss-Codacci the Ricci scalar ##R'## of the induced metric ##h_{ij}## satisfies ##R' = R + 2R_{ij} n^i n^j - K^2 + K^{ij}K_{ij}## and so the Einstein-Hilbert action is\begin{align*}S_{EH}[g] = \int_M \mathrm{d}^4 x \sqrt{-g} \left( R' - 2R_{ij} n^i n^j + K^2 - K^{ij}K_{ij}\right)\end{align*}This is supposed to simplify to\begin{align*}S_{EH}[g] = \int_M \mathrm{d}^4 x \sqrt{h} N \left( R' - K^2 + K^{ij}K_{ij}\right)\end{align*}how does that follow? We can write ##R_{ij}n^i n^j = {R_{ikj}}^k n^i n^j = (\nabla_i \nabla_k - \nabla_k \nabla_i) n^i n^k## and also ##K_{ab} = h^c_a \nabla_c n_b## but even when I wrote it all out it still didn't simplify nicely to the required action. The idea is to deduce the lagrangian ##\mathcal{L}_{EH}## and then evaluate the legendre transform ##\int_{\Sigma} \mathrm{d}^3 x \left( \pi^{ij} \dot{h}_{ij} - \mathcal{L}_{EH} \right)## but as it stands I can't simplify ##\mathcal{L}_{EH}##. Is there a trick I am missing? Thank you
Last edited by a moderator:
