The magnetic field induced by a current loop

Click For Summary

Homework Help Overview

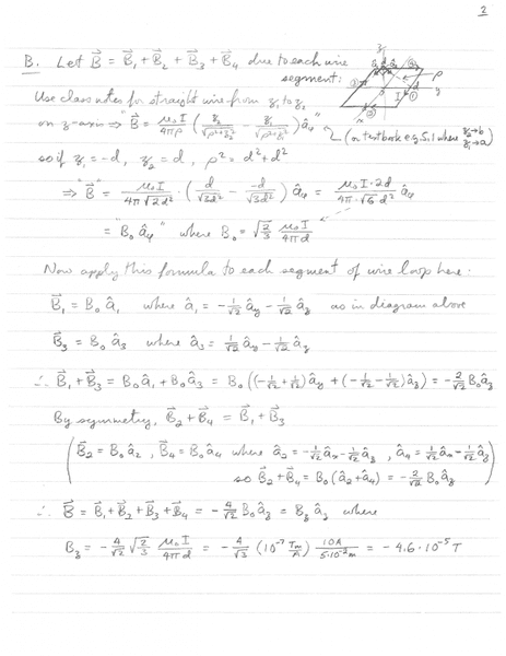
The discussion revolves around calculating the magnetic field induced by a square current loop positioned in the x-y plane, with a specific focus on the field at a point along the z-axis. Participants are seeking clarification on the expressions for unit vectors used in the solution provided by the professor.

Discussion Character

  • Conceptual clarification, Assumption checking

Approaches and Questions Raised

  • Participants express confusion regarding the derivation of unit vectors a1 and a3 in the context of the magnetic field calculation. There are requests for explanations and clarifications on these expressions.

Discussion Status

Some participants have uploaded relevant diagrams and solutions to facilitate understanding. There is an ongoing exchange about the clarity of the handwritten notes, with suggestions for typed solutions to improve readability.

Contextual Notes

Participants note the presence of a diagram and a solution provided by the professor, which are essential for understanding the problem but may not be fully accessible in the current format. There is an emphasis on the need for clear communication of mathematical expressions.

Engineering Student
Messages
2
Reaction score
0
A square loop of wire in the x-y plane, centred on the origin, is made up of four straight segments, each of length 2d=10cm. A current I =10A flows in the wire in the direction shown. Find the magnetic field at z=d on the z-axis.
(See "Diagram" for the diagram of the problem)
Here is the solution provided by the professor:
(See "solution1" for the solution of the problem)
I don't understand how he came up with the expression for unite vectors a1 and a3. Could some one explain this? Thanks.
Diagram.png
solution 1.png
 
Physics news on Phys.org
Engineering Student said:
A square loop of wire in the x-y plane, centred on the origin, is made up of four straight segments, each of length 2d=10cm. A current I =10A flows in the wire in the direction shown. Find the magnetic field at z=d on the z-axis.
(See "Diagram" for the diagram of the problem)
Here is the solution provided by the professor:
(See "solution1" for the solution of the problem)
I don't understand how he came up with the expression for unite vectors a1 and a3. Could some one explain this? Thanks.
View attachment 99110 View attachment 99111
Welcome to the PF.

All I can see is a small attachment of the figure for the problem. Can you use the UPLOAD button to attach the figure and the solution to a reply? Thanks. :smile:
 
Yes. I uploaded the pictures. You can get the pictures by clicking on the thumbnails.
 
Engineering Student said:
Yes. I uploaded the pictures. You can get the pictures by clicking on the thumbnails.
I saw the pictures but feel belabored by your handwriting - I suggest typing in your solution. You can get all sorts of symbols by clicking on "Σ" in the toolbar above.
 
  • Like
Likes   Reactions: berkeman

Similar threads

Replies
4
Views
1K
Replies
8
Views
2K
  • · Replies 8 ·
Replies
8
Views
2K
  • · Replies 1 ·
Replies
1
Views
2K
  • · Replies 2 ·
Replies
2
Views
3K
Replies
2
Views
1K
Replies
8
Views
2K
Replies
2
Views
1K
  • · Replies 10 ·
Replies
10
Views
2K
  • · Replies 1 ·
Replies
1
Views
2K