The Riemann and Darboux Integrals .... Browder, Theorem 5.10 .... ....

Click For Summary
SUMMARY

The discussion centers on understanding the proof of Theorem 5.10 from Andrew Browder's "Mathematical Analysis: An Introduction," specifically regarding the necessity of the condition for Riemann integrability. The theorem states that if the integral of a function exists over the interval [a, b], then for every ε > 0, there exists a partition π such that the difference between the upper and lower Riemann sums, denoted as \(\overline{S}(f, \pi)\) and \(\underline{S}(f, \pi)\), is less than ε. Participants clarify the definitions of upper and lower sums and emphasize that proving the necessity involves demonstrating that the existence of the integral implies the condition on the sums must hold.

PREREQUISITES
  • Understanding of Riemann integration concepts
  • Familiarity with partitions and their role in integration
  • Knowledge of upper and lower sums in the context of integrals
  • Basic proficiency in mathematical proofs and epsilon-delta arguments
NEXT STEPS
  • Study the definitions and properties of Riemann sums in detail
  • Explore the concept of partitions in Riemann integration
  • Review the proof techniques used in mathematical analysis, particularly epsilon-delta proofs
  • Investigate related theorems on integrability and their implications in analysis
USEFUL FOR

Students and educators in mathematical analysis, particularly those focusing on integration theory, as well as anyone seeking to deepen their understanding of Riemann integrability and its foundational proofs.

Math Amateur
Gold Member
MHB
Messages
3,920
Reaction score
48
I am reading Andrew Browder's book: "Mathematical Analysis: An Introduction" ... ...

I am currently reading Chapter 5: The Riemann Integral and am currently focused on Section 5.1 Riemann Sums ... ...

I need some help in understanding the proof of Theorem 5.10 ...Theorem 5.10 and its proof read as follows:View attachment 9473
View attachment 9474

At the start of the above proof by Browder we read the following:

" ... ... The necessity of the condition is immediate from the definition of the integral ... ... "Can someone please help me to rigorously demonstrate the necessity of the condition ...

-------------------------------------------------------------------------------------------------------------------

Note: I am assuming that proving "the necessity of the condition is proving the following:$$\int_a^b f \text{ exists } \Longrightarrow$$ ... for every $$\epsilon \gt 0 \ \exists \ $$ a partition $$\pi$$ of $$[a, b]$$ such that $$\overline{S} (f, \pi) - \underline{S} (f, \pi) \lt \epsilon$$ ... ...

-------------------------------------------------------------------------------------------------------------------

Help will be much appreciated ...

Peter
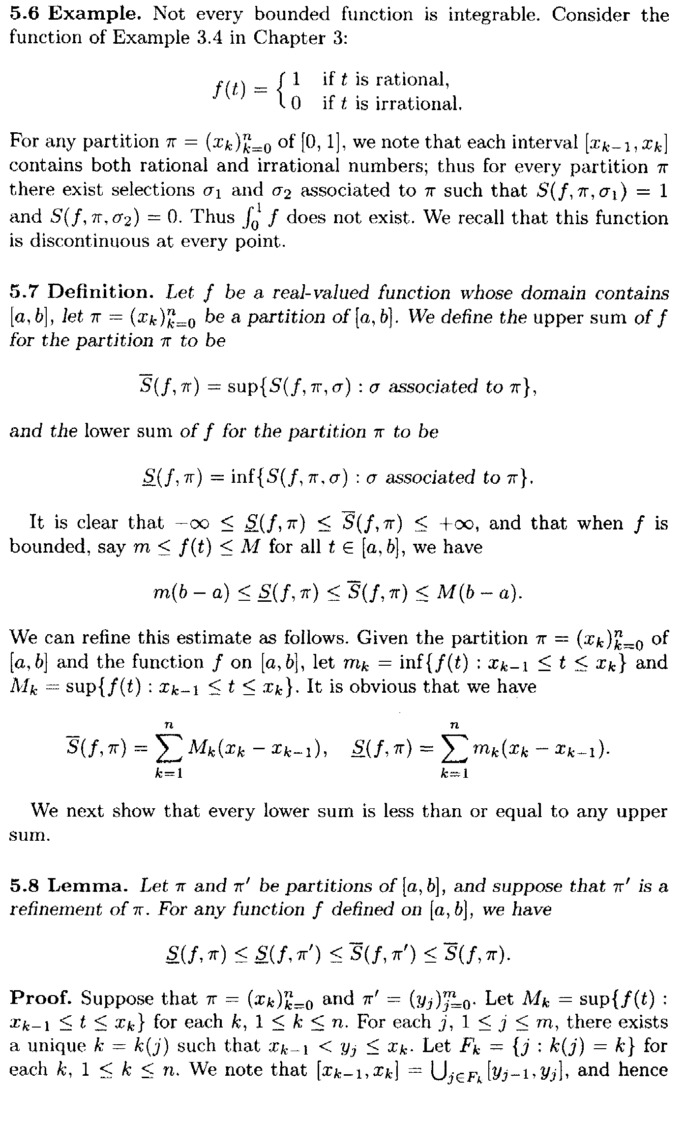
==========================================================================================Note: It may help MHB readers of the above post to have access to Browder's notation, definitions and theorems on Riemann integration preliminary to Theorem 5.10 ... hence i am providing access to the same ... as follows:
View attachment 9475
View attachment 9476
View attachment 9477
View attachment 9478
Hope that helps ...

Peter
 

Attachments

  • Browder - 1 - Theorem 5.10 ... PART 1 ... .png
    Browder - 1 - Theorem 5.10 ... PART 1 ... .png
    22.9 KB · Views: 159
  • Browder - 2 - Theorem 5.10 ... PART 2 ... .png
    Browder - 2 - Theorem 5.10 ... PART 2 ... .png
    4.8 KB · Views: 160
  • Browder - 1 - Start of 5.1 - Relevant Defns & Propns ... PART 1 ... .png
    Browder - 1 - Start of 5.1 - Relevant Defns & Propns ... PART 1 ... .png
    18.1 KB · Views: 158
  • Browder - 2 - Start of 5.1 - Relevant Defns & Propns ... PART 2 ... .png
    Browder - 2 - Start of 5.1 - Relevant Defns & Propns ... PART 2 ... .png
    57.5 KB · Views: 170
  • Browder - 3 - Start of 5.1 - Relevant Defns & Propns ... PART 3 ... .png
    Browder - 3 - Start of 5.1 - Relevant Defns & Propns ... PART 3 ... .png
    44.6 KB · Views: 162
  • Browder - 4 - Start of 5.1 - Relevant Defns & Propns ... PART 4 ... .png
    Browder - 4 - Start of 5.1 - Relevant Defns & Propns ... PART 4 ... .png
    43.2 KB · Views: 158
Last edited:
Physics news on Phys.org
Peter said:
I am reading Andrew Browder's book: "Mathematical Analysis: An Introduction" ... ...

I am currently reading Chapter 5: The Riemann Integral and am currently focused on Section 5.1 Riemann Sums ... ...

I need some help in understanding the proof of Theorem 5.10 ...Theorem 5.10 and its proof read as follows:At the start of the above proof by Browder we read the following:

" ... ... The necessity of the condition is immediate from the definition of the integral ... ... "Can someone please help me to rigorously demonstrate the necessity of the condition ...

-------------------------------------------------------------------------------------------------------------------

Note: I am assuming that proving "the necessity of the condition is proving the following:$$\int_a^b f \text{ exists } \Longrightarrow$$ ... for every $$\epsilon \gt 0 \ \exists \ $$ a partition $$\pi$$ of $$[a, b]$$ such that $$\overline{S} (f, \pi) - \underline{S} (f, \pi) \lt \epsilon$$ ... ...

-------------------------------------------------------------------------------------------------------------------

Help will be much appreciated ...

Peter
==========================================================================================Note: It may help MHB readers of the above post to have access to Browder's notation, definitions and theorems on Riemann integration preliminary to Theorem 5.10 ... hence i am providing access to the same ... as follows:

Hope that helps ...

Peter
I have been reflecting on my problem in the above post and now give my attempted proof of

$$\int_a^b f \text{ exists } \Longrightarrow$$ ... for every $$\epsilon \gt 0 \ \exists \ $$ a partition $$\pi$$ of $$[a, b]$$ such that $$\overline{S} (f, \pi) - \underline{S} (f, \pi) \lt \epsilon$$ ... ...Proof:

Let $$\int_a^b f = I $$

Then

$$I$$ exists $$\Longrightarrow$$ for any $$\frac{ \epsilon }{2} \gt 0 \ \exists \ \pi_0$$ such that for any $$\pi \geq \pi_0$$ and every selection $$\sigma$$ associated with $$\pi$$ we have $$| s(f, \pi, \sigma ) - I | \lt \frac{ \epsilon }{2}$$Now $$| S(f, \pi, \sigma ) - I | \lt \frac{ \epsilon }{2}$$

implies that

$$- \frac{ \epsilon }{2} \lt S(f, \pi, \sigma ) - I \lt \frac{ \epsilon }{2}$$

and so, obviously, we have that

$$S(f, \pi, \sigma ) - I \lt \frac{ \epsilon }{2}$$ ... ... ... ... ... (1)But $$| S(f, \pi, \sigma ) - I | \lt \frac{ \epsilon }{2}$$

... also implies that

$$- \frac{ \epsilon }{2} \lt I - S(f, \pi, \sigma ) \lt \frac{ \epsilon }{2}$$

so, obviously, we have that

$$I - S(f, \pi, \sigma ) \lt \frac{ \epsilon }{2}$$ ... ... ... ... ... (2)

Now we also have that

$$\underline{S} (f, \pi) \leq S(f, \pi, \sigma ) \leq \overline{S} (f, \pi) $$ ... ... ... ... ... (3)Now (1) and (3) imply $$\overline{S} (f, \pi) - I \lt \frac{ \epsilon }{2}$$ ... ... ... ... ... (4)Similarly (2) and (3) imply$$I - \underline{S} (f, \pi) \lt \frac{ \epsilon }{2}$$ ... ... ... ... ... (5)Adding (4) and (5) gives $$\overline{S} (f, \pi) - \underline{S} (f, \pi) \lt \epsilon$$ ... ...
Can someone please critique the above proof and either confirm it is correct and/or point out errors or shortcomings ...

Peter
 
Last edited:
Hello Peter,

I am also currently reading Browder's book and I understand your confusion about the necessity of the condition in Theorem 5.10. I will try my best to explain it to you.

First of all, let's define the notation used in the theorem. The upper and lower sums, denoted by $\overline{S}(f,\pi)$ and $\underline{S}(f,\pi)$ respectively, are defined as follows:

$$\overline{S}(f,\pi) = \sum_{i=1}^n M_i \Delta x_i$$
$$\underline{S}(f,\pi) = \sum_{i=1}^n m_i \Delta x_i$$

where $M_i$ and $m_i$ are the supremum and infimum of $f$ on the $i$th subinterval $[x_{i-1},x_i]$, and $\Delta x_i$ is the length of the subinterval.

Now, let's look at the definition of the Riemann integral. A function $f$ is said to be Riemann integrable on $[a,b]$ if and only if for every $\epsilon > 0$, there exists a partition $\pi$ of $[a,b]$ such that

$$\overline{S}(f,\pi) - \underline{S}(f,\pi) < \epsilon$$

This means that for any small $\epsilon$, we can always find a partition such that the difference between the upper and lower sums is less than $\epsilon$. This is the condition that Browder is referring to in the proof of Theorem 5.10.

Now, to prove the necessity of this condition, we need to show that if the Riemann integral exists, then this condition must hold. In other words, if we can find a partition $\pi$ such that the difference between the upper and lower sums is less than any given $\epsilon$, then the Riemann integral must exist.

To prove this, we can use the definition of the Riemann integral again. Since we assume that the integral exists, we know that for any $\epsilon > 0$, there exists a partition $\pi'$ such that

$$\left|\int_a^b f(x) dx - \overline{S}(f,\pi')\right| < \frac{\epsilon}{2}$$

and

 

Similar threads

  • · Replies 6 ·
Replies
6
Views
3K
Replies
2
Views
2K
  • · Replies 2 ·
Replies
2
Views
2K
  • · Replies 4 ·
Replies
4
Views
2K
  • · Replies 14 ·
Replies
14
Views
5K
  • · Replies 2 ·
Replies
2
Views
3K
Replies
2
Views
2K
  • · Replies 2 ·
Replies
2
Views
2K
Replies
2
Views
2K
Replies
2
Views
2K