Riemann Integration ... Existence Result .... Browder, Theorem 5.12 ....

Click For Summary
SUMMARY

The discussion centers on the proof of Theorem 5.12 from Andrew Browder's "Mathematical Analysis: An Introduction," specifically regarding the inclusion of the term "+1" in the expression $$[f(b) - f(a) + 1](b - a) / \epsilon$$. The addition of "+1" ensures that the inequality holds regardless of whether $$f(b)$$ is greater than or less than $$f(a)$$. This precaution guarantees that the chosen integer $$n$$ is sufficiently large to maintain the validity of the inequality $$\mu(\pi)[f(b) - f(a)] < \epsilon$$ for all cases.

PREREQUISITES
  • Understanding of Riemann integration concepts
  • Familiarity with the epsilon-delta definition of limits
  • Basic knowledge of mathematical proofs and inequalities
  • Ability to interpret mathematical expressions and notation
NEXT STEPS
  • Study the implications of the Riemann Integral in mathematical analysis
  • Explore the details of Theorem 5.12 in Browder's book
  • Learn about the construction of partitions in Riemann integration
  • Investigate other proofs involving inequalities in mathematical analysis
USEFUL FOR

Students of mathematical analysis, educators teaching calculus and integration, and mathematicians interested in the rigor of Riemann integration proofs.

Math Amateur
Gold Member
MHB
Messages
3,920
Reaction score
48
I am reading Andrew Browder's book: "Mathematical Analysis: An Introduction" ... ...

I am currently reading Chapter 5: The Riemann Integral and am currently focused on Section 5.2 Existence Results ... ...

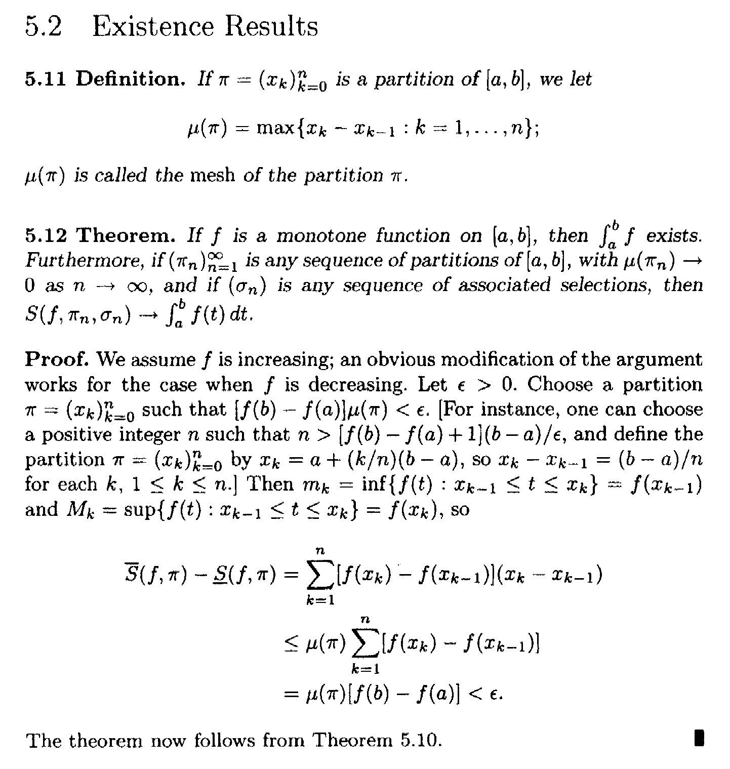
I need some help in understanding the proof of Theorem 5.12 ...Theorem 5.12 and its proof read as follows:
View attachment 9501In the above proof by Andrew Browder we read the following:

" ... ... [For instance, one can choose a positive integer $$n$$ such that $$n \gt [f(b) - f(a) + 1](b - a) / \epsilon$$ ... ... "My question is as follows:

Why does Browder have $$+1$$ in the expression $$[f(b) - f(a) + 1](b - a) / \epsilon$$ ... ... ?Surely $$[f(b) - f(a)](b - a) / \epsilon$$ will do fine ... since ...

$$\mu ( \pi ) = (b - a)/ n$$

and so

$$\mu ( \pi ) [f(b) - f(a)] = [f(b) - f(a)] (b - a)/ n \lt \epsilon$$ ...

... so we only need ...

$$n \gt [f(b) - f(a)](b - a) / \epsilon$$

Hope someone can help ...

Peter
 

Attachments

  • Browder ... Theorem 5.12 .png
    Browder ... Theorem 5.12 .png
    28 KB · Views: 185
Physics news on Phys.org
The +1 in the expression [f(b) - f(a) + 1](b - a) / \epsilon is used to ensure that the inequality holds in all cases. If we only use [f(b) - f(a)](b - a) / \epsilon, we can only guarantee that the inequality will hold if f(b) ≥ f(a). However, if f(b) < f(a) then we can't guarantee that the inequality will hold. The +1 ensures that the inequality holds for any value of f(b) and f(a).
 


Hi Peter,

I can definitely understand your confusion with the +1 in the expression. Here's my understanding of it:

In this proof, Browder is trying to show that for any given \epsilon \gt 0, there exists a partition \pi of [a,b] such that \mu(\pi)[f(b) - f(a)] \lt \epsilon. In order to do this, he chooses a positive integer n such that n \gt [f(b) - f(a) + 1](b - a) / \epsilon.

The reason for the +1 is because Browder wants to make sure that the value of n is large enough to guarantee that \mu(\pi)[f(b) - f(a)] is less than \epsilon. By adding 1 to [f(b) - f(a)], he is ensuring that n is large enough to cover any potential "gaps" in the interval [f(b) - f(a), \epsilon].

In other words, if we only have n \gt [f(b) - f(a)](b - a) / \epsilon, there is a possibility that the value of n may not be large enough to cover all possible values within the interval [f(b) - f(a), \epsilon]. By adding 1, we are ensuring that n is large enough to cover all possible values within this interval.

I hope this helps clarify the use of +1 in the expression. Let me know if you have any further questions.

 

Similar threads

  • · Replies 2 ·
Replies
2
Views
2K
Replies
2
Views
2K
  • · Replies 6 ·
Replies
6
Views
3K
  • · Replies 4 ·
Replies
4
Views
2K
  • · Replies 2 ·
Replies
2
Views
3K
  • · Replies 14 ·
Replies
14
Views
5K
Replies
2
Views
2K
Replies
3
Views
2K
Replies
2
Views
2K
  • · Replies 2 ·
Replies
2
Views
3K