Transitioning from Stage 2 to Stage 3

  • Thread starter Thread starter LCSphysicist
  • Start date Start date
Click For Summary
SUMMARY

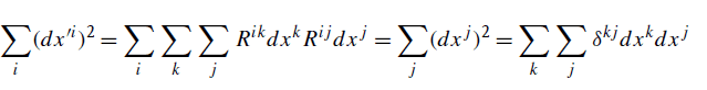
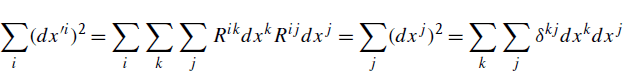
The discussion focuses on the transition from Stage 2 to Stage 3 in understanding transformations and rotations in a plane, specifically utilizing rotation matrices. The participant expresses difficulty in comprehending the relationship between the differential element dx' in a rotated frame and the rotation matrix R. It is established that a rotation matrix is orthogonal, which is a key property in linear transformations.

PREREQUISITES
  • Understanding of linear algebra concepts, particularly matrices
  • Familiarity with orthogonal matrices and their properties
  • Knowledge of transformations in a two-dimensional plane
  • Basic grasp of differential calculus and its application in transformations
NEXT STEPS
  • Study the properties of orthogonal matrices in detail
  • Learn about the application of rotation matrices in computer graphics
  • Explore the concept of transformations in higher dimensions
  • Investigate the relationship between differential elements and coordinate transformations
USEFUL FOR

Students and professionals in mathematics, physics, and engineering who are working with transformations and rotations in two-dimensional spaces.

LCSphysicist
Messages
644
Reaction score
163
Homework Statement
I was studying transformations/rotations in a plane, but i am having trouble to understand the image on the black table. dx' is dx in a rotated frame and R is the rotation matrix
Relevant Equations
\n
1605791125428.png

My problem is how to go from the second to the third.
 
Last edited by a moderator:
Physics news on Phys.org
Herculi said:
Homework Statement:: I was studying transformations/rotations in a plane, but i am having trouble to understand the image on the black table. dx' is dx in a rotated frame and R is the rotation matrix
Relevant Equations:: \n

View attachment 272773
My problem is how to go from the second to the third.
A rotation matrix is orthogonal.
 

Similar threads

  • · Replies 2 ·
Replies
2
Views
4K
Replies
18
Views
3K
Replies
9
Views
2K
  • · Replies 11 ·
Replies
11
Views
2K
  • · Replies 2 ·
Replies
2
Views
1K
  • · Replies 17 ·
Replies
17
Views
2K
Replies
2
Views
3K
  • · Replies 10 ·
Replies
10
Views
2K
  • · Replies 6 ·
Replies
6
Views
2K
  • · Replies 1 ·
Replies
1
Views
1K