Trying to solve conservation of momentum problem

Click For Summary

Homework Help Overview

The discussion revolves around a nuclear physics problem involving the conservation of momentum during an elastic collision between a deuterium atom and a boron atom, resulting in hydrogen and boron products. Participants are tasked with finding the energies of the resulting particles and the angle of one of the products, with specific energy values and a reaction Q value provided.

Discussion Character

  • Mixed

Approaches and Questions Raised

  • Participants explore various equations related to momentum and energy conservation, with attempts to derive a third equation from the first two. Some express confusion over the independence of the equations and the proper incorporation of the reaction Q value.

Discussion Status

There is ongoing exploration of the relationships between the equations and the variables involved. Some participants have offered guidance on algebraic relationships and the need for clarification on the derivation of equations. Multiple interpretations of the problem and its equations are being discussed, with no clear consensus reached.

Contextual Notes

Participants note discrepancies between their findings and those presented in the reference book, leading to questions about the validity of the equations and the assumptions made. The discussion includes considerations of trigonometric identities and the implications of the Q value on the equations being used.

patric44
Messages
308
Reaction score
40

Homework Statement


its a nuclear physics problem :
a deuterium atom with energy 4Mev collides with a boron atom B5/10 in an elastic collision
producing an H1/1 and B5/11 ,the Q of the reaction = 9.23 Mev .
find the E,E' , the energy of the boron and the hydrogen
the unknowns :
E,E', theta of boron.

Homework Equations


the solution is in solving these three equation :
three_equations.jpg

The Attempt at a Solution


I first tried to get the third equation by eliminating the angle ##\theta##
then when trying to solve those three equations I get:
1 paper.jpg
2.jpg
3.jpg
4.jpg


 
Last edited by a moderator:
Physics news on Phys.org
guys i made a little mistake the third equation in my attempt sulould be 22E=16+2E'+... not (2E')^0.5
and for the other three papers also. you will understand when trying to solve it .
 
need help guys
 
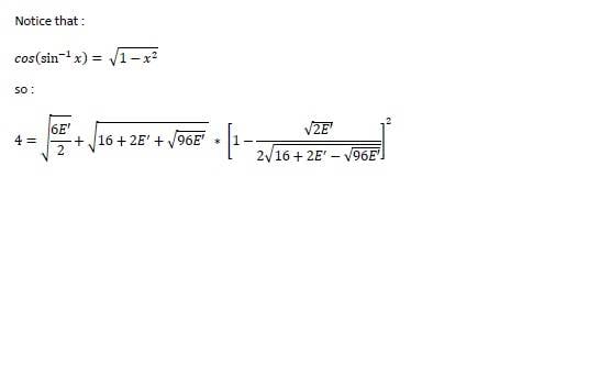
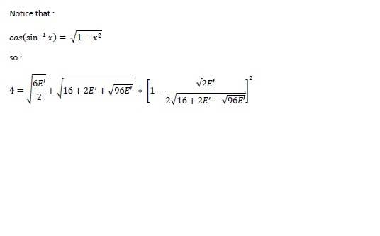
Your first page is ok, but you lose your way in trying to eliminate θ. What simple algebraic relationship is there between sin and cos?
 
here another attempt i almost done but it stil complicated ( i had solved millions of equations ODE , PDE , vector calculus and many) but this
still got me :
1.jpg
2nd.jpg
 
patric44 said:
here another attempt i almost done but it stil complicated ( i had solved millions of equations ODE , PDE , vector calculus and many) but this
still got me :
View attachment 197341 View attachment 197342
Please try to answer my question in post #4.
 
there is a lot of trigonometric identities but i don't know which one to use :
the one that i used in getting the third equation (sin^2+cos^2=1)
those three equation is correct i checked it :
three_equations-jpg.197263.jpg


may be i sould use :
(cos2theta = 1-2sin^theta)

haruspex said:
Please try to answer my question in post
do you have particular one in mind
 
I suspect that your set of three equations are not independent, and I'm rather unclear on how you arrived at the third equation. Some annotation of your math would be nice. I also don't see where you've incorporated the Q of the nuclear reaction. Surely that must be an important contribution to the post-collision KE.
 
gneill said:
I suspect that your set of three equations are not independent, and I'm rather unclear on how you arrived at the third equation. Some annotation of your math would be nice. I also don't see where you've incorporated the Q of the nuclear reaction. Surely that must be an important contribution to the post-collision KE.
first thanks for responding
what you mean that the equations is not independent ?

in the book that contain that problem (which is a very sick book) has a very
breif solution goes like that :
1-by squaring and summing and eliminating theta we get ( the third equation)
2- by substituting in 1,2 equations we get (E=3.06 and E' = 10.17)
just like that (not a single step)

the third equation derivation i came up with my self :
the third.jpg


the Q also mentiend in the book that its equal 9.23Mev
my only problem is in solving those three equations
 
  • #10
patric44 said:
the third equation derivation i came up with my self :
So it is based on the two existing momentum equations, hence it contains no new information. That means it is entirely dependent on the other two equations. The set of three equations is not a set of independent equations, and you can't use them to solve for all three variables.

You need to incorporate the Q information. You've written two momentum equations and that's all the information you can get from that. What other conservation law can you apply?
 
  • #11
but in the book its said by subsituting of the third equation in 1,2
i forgot to mention that :
E+E'= 4+9.23 = 13.23Mev
which i tried to sole in it but got wrong answers
 
  • #12
patric44 said:
but in the book its said by subsituting of the third equation in 1,2
I suspect that the book is incorrect on that point, and that was not how the problem was solved.
i forgot to mention that :
E+E'= 4+9.23 = 13.23Mev
which i tried to sole in it but got wrong answers
I think what the book's author actually did was use the third equation (which eliminated θ) and the energy equation above to solve for E and E'. Then θ can be found using either of the first two equations.
 
  • #13
i think some thing is wrong in the third equation in the book
becouse i tried to plug E' = 10.17 i don't get E = 3.06 as mentiend in the book
 
  • #14
patric44 said:
i think some thing is wrong in the third equation in the book
becouse i tried to plug E' = 10.17 i don't get E = 3.06 as mentiend in the book
That's possible. I also didn't follow your derivation of that equation, as you seemed to come to the conclusion that sin(θ) was zero for reasons I couldn't see. Work with the first two equations and the Q equation.
 
  • #15
patric44 said:
there is a lot of trigonometric identities but i don't know which one to use :
the one that i used in getting the third equation (sin^2+cos^2=1)
those three equation is correct i checked it :
View attachment 197371
in that case I misunderstood your issue. I thought the book had obtained the third equation from the first two and you were trying to emulate that.

So now it looks to me that your first two equations are momentum equations, and deriving the third is a good move. But now you need to combine this with an energy equation. You are given the net change in energy.
 

Similar threads

  • · Replies 10 ·
Replies
10
Views
3K
  • · Replies 15 ·
Replies
15
Views
4K
Replies
21
Views
3K
  • · Replies 9 ·
Replies
9
Views
2K
Replies
2
Views
1K
  • · Replies 4 ·
Replies
4
Views
2K
Replies
7
Views
3K
  • · Replies 2 ·
Replies
2
Views
1K
  • · Replies 1 ·
Replies
1
Views
2K
  • · Replies 4 ·
Replies
4
Views
2K