Conservation of momentum of spacecraft and asteroid

Click For Summary

Homework Help Overview

The discussion revolves around the conservation of momentum in the context of a collision between a spacecraft (DART) and an asteroid. Participants are exploring the implications of relative speeds and angles during the collision, particularly focusing on how the asteroid's velocity changes as a result of the impact.

Discussion Character

  • Exploratory, Conceptual clarification, Mathematical reasoning, Assumption checking

Approaches and Questions Raised

  • Participants are attempting to understand the logic behind the teacher's solution involving trigonometric relationships and the geometry of velocity vectors. Questions are raised about the assumptions regarding the direction of the collision and how it affects the asteroid's velocity change. Some participants are also exploring the implications of the collision being at a right angle to the asteroid's initial velocity.

Discussion Status

The discussion is ongoing, with participants actively questioning the assumptions and interpretations of the problem. Some have provided insights into the geometric relationships involved, while others are still seeking clarification on specific points, such as the direction of the change in velocity and the implications of the collision angle.

Contextual Notes

Participants are working under the assumption that the collision occurs at a 90-degree angle to the asteroid's initial velocity. There is also a focus on the potential implications of small changes in the asteroid's velocity and their long-term effects on its trajectory.

songoku
Messages
2,514
Reaction score
395
Homework Statement
Please see below
Relevant Equations
Conservation of Momentum
1647440094091.png


By "DART will have a relative speed of 6250 ms-1 when it collides with the asteroid", I assume it is the relative speed of the DART with respect to the asteroid.

Using that assumption, I can answer question (a)

For question (b), I don't understand the solution from the teacher. He did it like this:
$$\tan \theta=\frac{\Delta v_{\text{asteroid}}}{\text{initial velocity of asteroid}}$$
$$=\frac{4 \times 10^{-4}}{0.16}$$
$$\theta = 0.14^o$$

What's the logic behind that working?

I tried using conservation of momentum but got stuck because I don't know the initial speed of the DART.

Thanks
 
  • Like
Likes   Reactions: Delta2
Physics news on Phys.org
songoku said:
What's the logic behind that working?
Draw the velocity vectors for the asteroid - the initial, the final, and the change. Remember that the change in velocity can only happen along the direction of the collision. This should nett you a right triangle, to which you can then apply trigonometry.
 
  • Like
Likes   Reactions: songoku
Bandersnatch said:
Draw the velocity vectors for the asteroid - the initial, the final, and the change. Remember that the change in velocity can only happen along the direction of the collision. This should nett you a right triangle, to which you can then apply trigonometry.
1647445499170.png

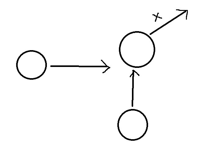
Maybe you mean that triangle, where:
a = initial velocity of asteroid
b = change in velocity of asteroid
c = final velocity of asteroid

But why don't the triangle in the shape like this:
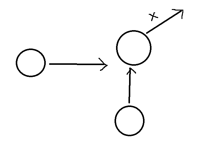
1647447674830.png


What does it mean by "along the direction of collision" ? Is it direction of x in the picture below?
1647448188435.png


Thanks
 
songoku said:
View attachment 298435
Maybe you mean that triangle, where:
a = initial velocity of asteroid
b = change in velocity of asteroid
c = final velocity of asteroid

But why don't the triangle in the shape like this:
View attachment 298441

What does it mean by "along the direction of collision" ? Is it direction of x in the picture below?
View attachment 298445

Thanks
It says in the question to assume that the collision is at ##90## degrees to the direction of the asteroid's velocity. Conservation of momentum (in all directions) tell you the rest.
 
  • Like
Likes   Reactions: songoku
songoku said:
But why don't the triangle in the shape like this:
Because you are told in the problem that the collision with DART is at 90 degrees to the velocity of the asteroid. So any velocity the asteroid may have gained (##\Delta V##) will be in the same direction as DART was moving along. Otherwise, the asteroid would have gained some momentum 'sideways', even though nothing ever hit it sideways. That would run afoul of conservation of momentum, so it's disallowed.

songoku said:
Maybe you mean that triangle, where:
a = initial velocity of asteroid
b = change in velocity of asteroid
c = final velocity of asteroid
Yes. Along the direction of collision would mean 'like b', since that's the direction DART hits the asteroid towards. That's the direction of the push, of the impulse.
It is, by the way, the same picture as the last one you made. The velocity vector c in the former is the one you labelled 'x' in the latter. The x is the sum of the other two.
There is a potential false intuition that might creep in here and confuse you, to the effect of: since x is longer than initial velocity, the body must have accelerated sideways as a result of the collision. But in reality, it is only longer in the way they hypotenuse in a right triangle is longer than its base. All the extra length is gained at the right angle.
 
  • Like
Likes   Reactions: songoku and Delta2
Bandersnatch said:
Because you are told in the problem that the collision with DART is at 90 degrees to the velocity of the asteroid. So any velocity the asteroid may have gained (##\Delta V##) will be in the same direction as DART was moving along. Otherwise, the asteroid would have gained some momentum 'sideways', even though nothing ever hit it sideways. That would run afoul of conservation of momentum, so it's disallowed.Yes. Along the direction of collision would mean 'like b', since that's the direction DART hits the asteroid towards. That's the direction of the push, of the impulse.
It is, by the way, the same picture as the last one you made. The velocity vector c in the former is the one you labelled 'x' in the latter. The x is the sum of the other two.
There is a potential false intuition that might creep in here and confuse you, to the effect of: since x is longer than initial velocity, the body must have accelerated sideways as a result of the collision. But in reality, it is only longer in the way they hypotenuse in a right triangle is longer than its base. All the extra length is gained at the right angle.
I understand this.

PeroK said:
It says in the question to assume that the collision is at ##90## degrees to the direction of the asteroid's velocity. Conservation of momentum (in all directions) tell you the rest.
I have written the conservation of momentum in all directions but I can't see from the equation that the change in velocity of asteroid will be 90 degree to its initial direction of motion.

Let asteroid moving to the right collides with DART moving upwards, where:
ma = mass of asteroid
md = mass of DART
ua = initial velocity of asteroid
ud = initial velocity of DART
v = final velocity of asteroid and DART
θ = angle between v and horizontal

From conservation of momentum in x - direction:
ma . ua = (ma + md) . v cos θ ... (1)

From conservation of momentum in y - direction:
md . ud = (ma + md) . v sin θ ... (2)

Dividing (2) by (1): tan θ = (md . ud) / (ma . ua) ... (3)

Change in velocity of asteroid in x - direction: Δvx = v cos θ - ua
Change in velocity of asteroid in y - direction: Δvy = v sin θ

Change in velocity of asteroid:
$$\Delta v = \sqrt{(\Delta v_x)^2 + (\Delta v_y)^2}$$
$$=\sqrt{v^2-2v u_a \cos \theta +u_a^2} ~... (4)$$

From all of those equations, how can I know the change in velocity of the asteroid will have a direction of vertically upwards? I expect Δvx to be zero so v cos θ = ua but how to get this relation?

Thanks
 
songoku said:
but I can't see from the equation that the change in velocity of asteroid will be 90 degree to its initial direction of motion.
The wording there is critical to understanding. There are two main ideas:
1) That the spacecraft hits the asteroid perpendicular to the astroid's path. That means the asteroid originally had no velocity in that direction.
2) The question asks for the CHANGE in travel direction of the asteroid caused by the spacecraft impact.

Your first sketch in post #3 shows the result, with the length 'b' being the CHANGE in asteroid direction, not its new path.
1647445499170-png.png


If the spacecraft approached and hit the asteroid from perhaps the 7 o'clock position in the diagram, then your second diagram would almost show the result. "Almost" because the impact would be at the point where sides 'a' and 'b' meet and the new path would be side 'b'. Side 'c' would not exist because nothing happened where 'a' and 'c' meet
1647447674830-png.png


Hope this helps!
Tom
 
Last edited:
  • Like
Likes   Reactions: songoku and Delta2
Tom.G said:
That means the asteroid originally had no velocity in that direction.
That it originally had no velocity in DART's direction.
Tom.G said:
with the length 'b' being the CHANGE in asteroid direction
Theta is the change in the asteroid direction. In the diagram, b represents the change in its velocity vector.
 
  • Informative
  • Like
Likes   Reactions: songoku, Delta2 and Tom.G
@Bandersnatch is it enough to change an asteroid speed by 0.4mm/s so that is collision course with Earth is altered enough to prevent collision? I guess maybe when the asteroid is far away from Earth right?
 
  • Like
Likes   Reactions: songoku
  • #10
Delta2 said:
@Bandersnatch is it enough to change an asteroid speed by 0.4mm/s so that is collision course with Earth is altered enough to prevent collision? I guess maybe when the asteroid is far away from Earth right?
Suppose that the projected Earth impact was not dead center but at a point some 2000 km into the Earth's disc. Obtaining a 2000 kilometer deflection at 0.4 mm/second would require 2000 * 1000 * 1000 * 2.5 = 5 billion seconds. That is about 158 years.

If we could arrange for an impact one year in advance then that would suggest the need for 158 DART sized impactors.

There is some uncertainty about the effect of the impact. It might not be a simple merger. Chasing down a reference from Wikipedia to a somewhat better than average journalistic source...
https://www.bbc.com/news/science-environment-59327293 said:
There's a degree of uncertainty over how Dimorphos will respond to the impact, in part because its interior structure isn't known. If Dimorphos is relatively solid inside, rather than full of spaces, it might produce lots of debris - which would give the object an extra push.
That said, there is little reason for optimism about a real life scenario.
 
  • Like
Likes   Reactions: songoku and PeroK
  • #11
Thank you very much for all the help and explanation Bandersnatch, PeroK, Tom.Gm haruspex, Delta2, jbriggs444
 
  • Like
Likes   Reactions: Delta2, Tom.G and Lnewqban

Similar threads

Replies
335
Views
17K
  • · Replies 2 ·
Replies
2
Views
1K
  • · Replies 9 ·
Replies
9
Views
2K
Replies
15
Views
2K
Replies
27
Views
2K
Replies
19
Views
4K
  • · Replies 19 ·
Replies
19
Views
3K
Replies
55
Views
6K
Replies
7
Views
2K
  • · Replies 1 ·
Replies
1
Views
3K