Trying to study for my exam but got stuck on exercise

  • Thread starter Thread starter Voidness
  • Start date Start date
Click For Summary

Homework Help Overview

The discussion revolves around a physics problem related to buoyancy and forces acting on a balloon. Participants are analyzing the setup and equations provided by the original poster, who is struggling with the concepts involved in the problem.

Discussion Character

  • Mixed

Approaches and Questions Raised

  • Participants are attempting to clarify the problem's setup, questioning the completeness of the information provided, particularly regarding the initial conditions of the balloon and the assumptions about air resistance. Some suggest making reasonable assumptions to proceed with the problem.

Discussion Status

There is a range of perspectives being explored, with some participants offering guidance on how to approach the problem while others express confusion over the original poster's reasoning and the problem's clarity. The discussion is ongoing, with no clear consensus reached.

Contextual Notes

Participants note potential issues with the problem's wording and format, suggesting it may be poorly set or possibly generated by a template. There are also concerns about the level of calculus knowledge required for the problem, which may not align with the original poster's current studies.

Voidness
Messages
18
Reaction score
0
Homework Statement
Will upload an Image
Relevant Equations
Didnt understand this but I think Force equations.
dasda.png
asdasd.png
 
Physics news on Phys.org
Voidness said:
Homework Statement: Will upload an Image
Relevant Equations: Didnt understand this but I think Force equations.

View attachment 360563View attachment 360561
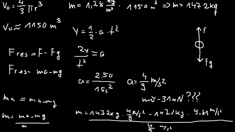
You have shown a scattering of equations. It is hard to follow your reasoning since you have not provided that part. Let me see what I can extract from the equations.

You begin by calculating the volume of the balloon and arrive at 1150 m3.

You then multiply by the density of the displaced air to arrive at the mass of the displaced air: 1472 kg.

You go on to assert that ##F_\text{res}##, the net upward force on the balloon is given by the applied upward force ##F## minus the downward force of gravity ##F_g##.

Algebraically, this resultant force is then also given by ##F_res = ma - mg##.

You know the required acceleration ##a## is given by ##\frac{2y}{t^2}## where ##y## is the displacement that occurs (for constant acceleration starting from rest) and ##t## is the time interval over which this displacement occurs.

You evaluate ##\frac{2y}{t^2}## and get ##a=\frac{2 \times 50}{15^2} = \frac{4}{9}## m/s2.

You assert that ##ma = ma - mg##. This is erroneous. Can you see why?

You blindly perform algebra on ##ma = ma - mg##, failing to notice the obvious algebraic manipulation that would show that ##mg = 0## from which one could immediately conclude that ##m=0##.

There is an equation that looks like: ##m \approx 3.1 \text{kN}##. But that would be erroneous. The units do not work out. So I may have misread that.

At this point, things are going catastrophically down hill. You arrive at a large formula that I cannot be bothered to try to read or understand.


I consider the problem itself to be poorly set. If your approach is correct, the problem setter expects us to ignore air resistance as a sphere disturbs a volume of air that outmasses the sphere by a factor of about six to one.
 
Voidness said:
In addition to what @jbriggs444 said, the question seems incomplete:
- what is the initial mass (or weight) of the balloon+passengers+ballast?
- what is the initial state (e.g. stationary on the ground)?
 
Steve4Physics said:
In addition to what @jbriggs444 said, the question seems incomplete:
- what is the initial mass (or weight) of the balloon+passengers+ballast?
- what is the initial state (e.g. stationary on the ground)?
If we assume/guess that the balloon is initially stationary and neutrally buoyant, both questions are answerable.

My teachers told us that when a problem appeared incomplete we were to make reasonable assumptions for the missing data, state those assumptions clearly and go on to work the exercise.

I do agree that the question should have included that background.
 
  • Like
Likes   Reactions: Steve4Physics
Sorry for this mess. I also apologize that I am bad in physics, its my first year that I have physics.
Solution are down. I dont know how to use calculus in physics, we just started calculus in math.
The teacher said that who wants a good grade should do these exercises.

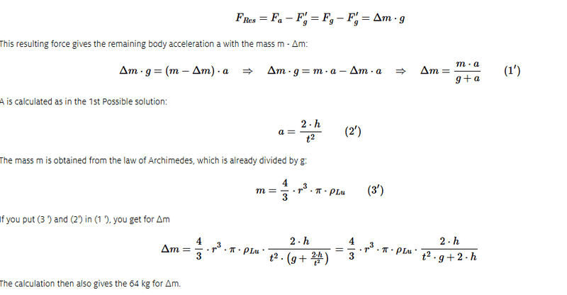
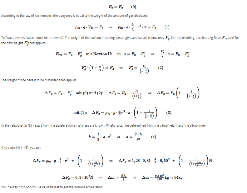
If we assume that the balloon was on the ground.

qwe.png

1. Solution

1746187316098.png


2. Solution
1746187348376.png
 
Voidness said:
I dont know how to use calculus in physics, we just started calculus in math.
If we assume negligible air resistance, no calculus is needed for this problem.

Voidness said:
I agree with your final answer but the working is difficult (for me anyway) to follow.

It’s worth explaining the reasoning, and defining any necessary symbols, as part of your answer. If I were answering, it might be something like this...

Assume the loaded balloon (total mass ##M##) is initially at rest on the ground with neutral buoyancy. I.e. the weight (##Mg##) equals the upthrust from the displaced air (##\frac 43 \pi r^3 \rho g##) so resultant force is zero.

If a mass ##m## of ballast is removed, the new total mass is ##M-m##.

The balloon’s weight has decreased by ##mg## so the resultant force is now ##mg## upwards.

Assume negligible force of air resistance while the balloon rises.

Applying Newton II (‘F = ma’):
##mg = (M- m)a##
[a couple of lines of simple algebra]
##m = M \frac a {g+a}##

[Then calculate values for ##M## and ##a## and insert in above equation.]
 
  • Like
Likes   Reactions: jbriggs444
Steve4Physics said:
If we assume negligible air resistance, no calculus is needed for this problem.
I am a bit curious... what happens if we try to account for air resistance?

We can assume a spherical shape. A quick trip to Google says that the coefficient of drag (##C_d##) for a sphere is 0.47. We also find the relevant formula:$$C_d = \frac{2F_d}{\rho \mu^2 A}$$Here ##F_d## is the drag force, ##\rho## is the fluid density, ##\mu## is the flow velocity and ##A## is the cross sectional area of the object in question.

From the problem statement we can harvest figures for everything but the drag force. We can solve for ##F_d## and obtain:$$F_d = \frac{C_d \rho \mu^2 A}{2}$$We can use the average ascent velocity for ##\mu##, that is 50 meters in 15 seconds or about 3.3 m/s. ##\rho## is a given at 1.28 kg/m3. The coefficient of drag is 0.47. The relevant cross section is ##\pi r^2 \approx 132## m2. Plugging that all in we get:$$F_d = \frac{C_d \rho \mu^2 A}{2} \approx 0.5 \times 0.47 \times 1.28 \times 3.3^2 \times 132 \approx 430 \text{N}$$Assuming that I have not blundered egregiously.

By contrast, the net buoyant force from 64 kg mass under one g is about 640 N.

So an assumption of constant vertical acceleration under negligible air resistance is not realistic. Nor is an assumption of constant speed ascent at terminal velocity. A proper solution would require solving a differential equation. Which is probably a year or more beyond the instruction that @Voidness has so far received.

A computation based on the assumption of a constant speed ascent at terminal velocity could be a useful exercise.
 
Voidness said:
If we assume that the balloon was on the ground.
If we assume the balloon is initially resting on the ground we can only calculate its minimum mass. To get the exact mass we need to assume neutral buoyancy, as @jbriggs444 stated.

The wording and format of the question in post #1 are strange. Likely a translation, but also seems computer generated in some way, with randomised constants plugged into a template. Anyone familiar with such a device?
 

Similar threads

  • · Replies 13 ·
Replies
13
Views
2K
  • · Replies 4 ·
Replies
4
Views
1K
Replies
1
Views
1K
  • · Replies 5 ·
Replies
5
Views
1K
  • · Replies 10 ·
Replies
10
Views
2K
  • · Replies 58 ·
2
Replies
58
Views
3K
  • · Replies 5 ·
Replies
5
Views
2K
  • · Replies 51 ·
2
Replies
51
Views
4K
  • · Replies 6 ·
Replies
6
Views
1K