Understanding Differential Equations: Solving for y' with u substitution

Click For Summary

Homework Help Overview

The discussion revolves around solving a differential equation of the form xy' = y² + y, with a substitution hint provided (u = y/x). Participants are exploring methods to manipulate the equation and apply the substitution effectively.

Discussion Character

  • Exploratory, Conceptual clarification, Mathematical reasoning

Approaches and Questions Raised

  • Participants discuss the separability of the equation and the implications of the substitution u = y/x. There are varying interpretations of how to proceed with the integration and whether to treat the equation as homogeneous.

Discussion Status

Some participants have offered different approaches to the problem, including separating variables and checking solutions. There is no explicit consensus on the best method, but multiple lines of reasoning are being explored.

Contextual Notes

There is a specific requirement to use the substitution u = y/x, which influences the direction of the discussion. Participants are also considering the implications of the given solution and how it aligns with their own approaches.

Axial
Messages
2
Reaction score
0
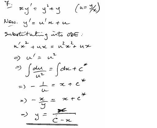
So I've just started Differential equations and already I am stuck.

I have the Question:

xy' = y² + y It also gives me (u = y/x) and i can see how to get u.So now i have y' =(y²/x) + u Now I am stuck, I'm not really sure of the exact way of going about this.
 
Physics news on Phys.org
This equation is separable, so that you can get dy and the y terms on one side, and dx and the x term on the other. Then integrate, not forgetting the constant of integration.
 
If you want to treat it as a "homogeneous" equation, which is what the "hint", to take u= y/x implies, then dividing the equation by x gives [itex]y'= y^2/x+ y/x[/itex] as you say and, yes, that is [itex]y'= y^2/x+ u[/itex]. But you can also write [itex]y^2/x= (y/x)y= uy[/itex]. Your equation becomes y'= uy+ u= u(y+1) which is again separable:
dy/(y+1)= u du.

I tend to agree with Mark44, that, since it is already separable, doing it as dy/(y^2+ y)= dx/x seems more obvious.
 
I would have done it automaticly like that, exept it states * use u=y/x *

This is what the given solution is:

PICTAR.jpg


I think i might stick with my answer and see what he says.
 
Check your solution by calculating dy/dx. It should be that for your solution xdy/dx = y2 + y. If so, you're in business. If not, you need to go back and see where you went wrong.
 

Similar threads

Replies
10
Views
2K
  • · Replies 12 ·
Replies
12
Views
2K
  • · Replies 8 ·
Replies
8
Views
2K
Replies
7
Views
2K
Replies
3
Views
2K
  • · Replies 2 ·
Replies
2
Views
2K
  • · Replies 10 ·
Replies
10
Views
2K
Replies
7
Views
2K
  • · Replies 7 ·
Replies
7
Views
2K
  • · Replies 7 ·
Replies
7
Views
3K