Unit Vectors for Polarization and Wave Vector Directions

Click For Summary

Homework Help Overview

The discussion revolves around understanding the derivation of unit vectors for polarization and wave vector directions in the context of wave equations and linear algebra. Participants are examining expressions related to the direction of polarization, ##\hat{n}##, and the wave vector, ##\hat{k}##, particularly in relation to a specific plane defined by the equation ##x+y+z=0##.

Discussion Character

  • Exploratory, Conceptual clarification, Assumption checking

Approaches and Questions Raised

  • Participants are questioning the techniques used to derive the expressions for the unit vectors, particularly focusing on the perpendicularity to the specified plane and the relationship to the wave vector's properties. There is a request for clarification on the methods used in linear algebra to arrive at these expressions.

Discussion Status

The discussion is ongoing, with participants expressing confusion about the source of the expressions for ##\hat{n}## and ##\hat{k}##. Some participants are exploring the implications of the wave vector's relationship to the plane and seeking further insights from others.

Contextual Notes

There is mention of a lack of clarity in the original textbook regarding the derivation of the unit vectors, which may be contributing to the participants' difficulties in understanding the problem setup. The expressions provided by the teacher are also under scrutiny for their derivation.

roam
Messages
1,265
Reaction score
12

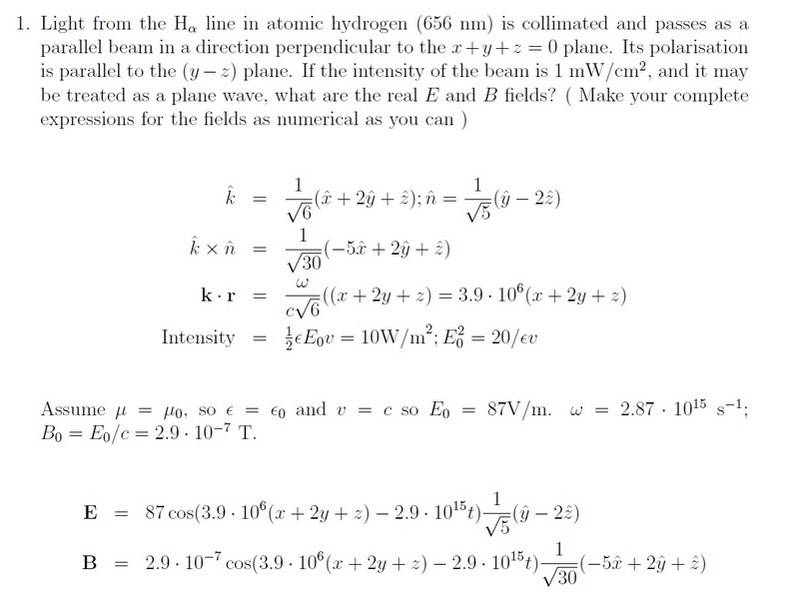
Homework Statement


I am having difficulty understanding the very first step of the following solved problem (I understand the rest of the solution).

How did they obtain the expressions for ##\hat{n}## (the direction of polarization), and ##\hat{k}## (the unit vector pointing in the direction of the wave vector)? :confused:

problem1.jpg

Homework Equations



##k=\frac{\omega}{\lambda f} = \frac{\omega}{c}=\frac{2 \pi}{\lambda}##

##E(r, t) = E_0 \ cos (k.r - \omega t) \hat{n}##

##B(r,t) = \frac{1}{c} E_0 \ cos (k.r - \omega t) (\hat{k} \times \hat{n})##

The Attempt at a Solution



What technique did they use to find the expression ##\frac{1}{\sqrt{6}} (\hat{x}+2\hat{y}+\hat{z})## for the unit vector perpendicular to ##x+y+z=0## plane?

Likewise, how did they get the expression ##\frac{1}{\sqrt{5}} (\hat{y}-2 \hat{z})## for the unit vector parallel to the y-z plane?

I could not find any explanations in my Linear Algebra textbook. So any explanation would be greatly appreciated.
 

Attachments

  • problem1.jpg
    problem1.jpg
    44.5 KB · Views: 413
Physics news on Phys.org
Where do you get that solution from?
 
blue_leaf77 said:
Where do you get that solution from?

This was the solution provided by my teacher. I don't understand, where did he get he get the expressions for ##\hat{n}## and ##\hat{k}## from?
 
Well that looks strange to me. If the wavevector should be perpendicular to ##x+y+z=0## plane then this plane must be parallel to the planes of constant phase ##\mathbf{k} \cdot \mathbf{r}=C## with ##C## a constant, in fact this plane is one of them. Which means any plane with equation ##x+y+z=C## is traversed by the beam perpendicularly, and we see the possible unit vector of ##k## that that can form such equation by the dot product with ##\mathbf{r}## must subtend the same angle with all three axes.
But I would like to hear the other's opinion.
 

Similar threads

Replies
26
Views
3K
  • · Replies 10 ·
Replies
10
Views
2K
Replies
2
Views
2K
Replies
8
Views
2K
Replies
11
Views
2K
Replies
2
Views
947
  • · Replies 9 ·
Replies
9
Views
2K
  • · Replies 2 ·
Replies
2
Views
3K
  • · Replies 3 ·
Replies
3
Views
2K
Replies
1
Views
3K