Unraveling the Mystery of RL Circuits: High Pass and Low Pass

  • Thread starter Thread starter unscientific
  • Start date Start date
  • Tags Tags
    Circuits Mystery
Click For Summary

Homework Help Overview

The discussion revolves around RL circuits, specifically focusing on high pass filters and their phase relationships. Participants are examining the phase shift equations presented in a circuit theory module, which appear to contradict each other regarding the representation of phase shifts for high pass and low pass filters.

Discussion Character

  • Conceptual clarification, Assumption checking, Mixed

Approaches and Questions Raised

  • Participants explore the interpretation of phase shifts in RL circuits, questioning the accuracy of the provided equations. Some attempt to clarify the distinction between phase shifts for different filter types, while others express confusion over the implications of phasor diagrams and their representation of time-varying signals.

Discussion Status

The conversation is ongoing, with participants actively questioning the assumptions made in the original material. Some have provided insights into using complex numbers for circuit analysis, while others are still grappling with the concepts of phasors and their implications in understanding circuit behavior.

Contextual Notes

Participants note that the original slide may lack clarity in explaining the relationship between phase shifts and filter types. There is also mention of the need for a deeper understanding of phasor diagrams and their representation of AC circuit behavior.

unscientific
Messages
1,728
Reaction score
13

Homework Statement



Hey guys, I've recently completed a module on circuit theory and I came across this particular slide on RL circuits (High Pass Filter) which puzzles me:

High Pass: RL Circuit, Low Pass: RC Circuit


The phase is given by:

tan ψ = (ωL/R)

but the very next line it is written as the reciprocal:

tan ψ = (R/ωL)


And the corresponding bode plots are based on the second (inverted) phase..

qqr57r.png


2e1vk9y.png
 
Physics news on Phys.org
unscientific said:

Homework Statement



Hey guys, I've recently completed a module on circuit theory and I came across this particular slide on RL circuits (High Pass Filter) which puzzles me:

High Pass: RL Circuit, Low Pass: RC Circuit


The phase is given by:

tan ψ = (ωL/R)

but the very next line it is written as the reciprocal:

tan ψ = (R/ωL)

<snip plots>

It looks like the first one is meant to represent the phase shift for the low pass filter (output across the resistor), while the second one is for the high pass filter (output across the inductor). Could have been better explained on the slide.
 
gneill said:
It looks like the first one is meant to represent the phase shift for the low pass filter (output across the resistor), while the second one is for the high pass filter (output across the inductor). Could have been better explained on the slide.

It doesn't look like it...as the first slide is talking only about the RL (High-Pass filter) circuit, and how the total voltage VT has a phase difference from the supplied current..
 
unscientific said:
It doesn't look like it...as the first slide is talking only about the RL (High-Pass filter) circuit, and how the total voltage VT has a phase difference from the supplied current..

Then the second instance is simply incorrect.

Also note that Bode plots generally plot the phase of output voltage compared to the input voltage. That is, the angle of Vout/Vin. For a high pass RL filter, that would be the voltage across the inductor compared to the voltage across both.

attachment.php?attachmentid=53972&stc=1&d=1355641000.gif
 

Attachments

  • Fig1.gif
    Fig1.gif
    1.4 KB · Views: 658
After more thought, I got it! Referring to the phasor diagram for both, the first phase ψ1 gives the phase between total voltage and current, while second phase ψ2 gives phase between load voltage and applied voltage.Now I'm wondering if mathematically, without the use of phasor diagrams if it's possible to describe the abovementioned phases..
 
unscientific said:
Now I'm wondering if mathematically, without the use of phasor diagrams if it's possible to describe the abovementioned phases..

Sure. All you need is mathematical "machinery" which incorporates magnitude and angle information just like phasors do. In other words: complex numbers. Combine resistance and reactance into a single entity called impedance (usually denoted "Z") and you can deal with AC circuit analysis using complex arithmetic in the same way you did DC resistor circuits with real arithmetic.

Inductive reactance gets an angle +j to denote the way voltage leads current by 90°. So ZL = jXL. For capacitors, current leads voltage so ZC = -jXC. Resistors, of course, remain real valued, ZR = R.

For the high-pass RL filter the output is taken across the inductor, so using the voltage division rule with impedance:
$$Vo = Vin \frac{j ω L}{R + j ω L}$$
then isolating output/input and simplifying to magnitude and angle:
$$\left|\frac{Vo}{Vin}\right| = \frac{ω L}{\sqrt{R^2 + (ω L)^2}} ~~~~~~~ \phi = tan^{-1}\left(\frac{R}{ω L}\right)$$
and there's the fodder for your magnitude vs frequency and angle versus frequency Bode plots.
 
gneill said:
Sure. All you need is mathematical "machinery" which incorporates magnitude and angle information just like phasors do. In other words: complex numbers. Combine resistance and reactance into a single entity called impedance (usually denoted "Z") and you can deal with AC circuit analysis using complex arithmetic in the same way you did DC resistor circuits with real arithmetic.

Inductive reactance gets an angle +j to denote the way voltage leads current by 90°. So ZL = jXL. For capacitors, current leads voltage so ZC = -jXC. Resistors, of course, remain real valued, ZR = R.

For the high-pass RL filter the output is taken across the inductor, so using the voltage division rule with impedance:
$$Vo = Vin \frac{j ω L}{R + j ω L}$$
then isolating output/input and simplifying to magnitude and angle:
$$\left|\frac{Vo}{Vin}\right| = \frac{ω L}{\sqrt{R^2 + (ω L)^2}} ~~~~~~~ \phi = tan^{-1}\left(\frac{R}{ω L}\right)$$
and there's the fodder for your magnitude vs frequency and angle versus frequency Bode plots.

Yup I usually use complex impedances to work out the magnitude and angles. But I feel like I don't quite understand phasors (in trigonometry style)...

For example:

VT = V0 sin (ωt + ∅)

Represented in the phasor diagram:

5p21j4.png


1) The direction of the current is defined along I0R right?

2) The p.d. across the resistor is given by VR = I0R sin (ωt). Does this mean that only the vertical component of I0R is taken at any point of time? (Like right now in the picture the vertical component is zero??)

286wrib.png


3)Why did they simply put I0R instead of I0R sin (ωt) ? By omitting the sin (ωt) part, you are missing out the point that the angle of the vector I0R is increasnig with time..

4) Won't this imply that the phasor diagram (trigo-style) only takes "snapshots" of the phasor vectors and not a "video" since it doesn't describe its rotation..
 
unscientific said:
Yup I usually use complex impedances to work out the magnitude and angles. But I feel like I don't quite understand phasors (in trigonometry style)...

For example:

VT = V0 sin (ωt + ∅)

Represented in the phasor diagram:

5p21j4.png


1) The direction of the current is defined along I0R right?
Don't think of assigning a direction is space to the current; Rather, take it to be flowing in a certain "direction" with respect to the components in its path, engendering potential drops or rises accordingly along the way.
2) The p.d. across the resistor is given by VR = I0R sin (ωt). Does this mean that only the vertical component of I0R is taken at any point of time? (Like right now in the picture the vertical component is zero??)
Phasor diagrams represent a snapshot of the relationships between currents and voltages in a circuit. Usually the x-axis is taken to coincide with the phasor of some convenient voltage or current taken as a reference 'direction'.

In complex fashion I'd write VR = I*R, where both I and VR are complex values. VR will have a magnitude and angle (it's a phasor) but you can recover the time domain function as ER = |VR|sin(ωt + ∅); Thus the ongoing "rotation" at rate ω is implicit, just as it is for phasor diagrams.
286wrib.png


3)Why did they simply put I0R instead of I0R sin (ωt) ? By omitting the sin (ωt) part, you are missing out the point that the angle of the vector I0R is increasnig with time..
It's not missing, it's implicit in phasor diagrams (and the complex math version). It is part of the definition of phasors and how they relate to complex numbers, vectors, and exponentials, that the time dependent portion of each value is dropped in the notation since they remain constant throughout the calculations and are just 'baggage' to carry along through the algebra. What is key to doing circuit analysis with phasors is the magnitude and relative angle relationships between them. You can always recover the time domain expressions from the complex or phasor values.
4) Won't this imply that the phasor diagram (trigo-style) only takes "snapshots" of the phasor vectors and not a "video" since it doesn't describe its rotation..
Right. See above.
 
gneill said:
Don't think of assigning a direction is space to the current; Rather, take it to be flowing in a certain "direction" with respect to the components in its path, engendering potential drops or rises accordingly along the way.

Phasor diagrams represent a snapshot of the relationships between currents and voltages in a circuit. Usually the x-axis is taken to coincide with the phasor of some convenient voltage or current taken as a reference 'direction'.

In complex fashion I'd write VR = I*R, where both I and VR are complex values. VR will have a magnitude and angle (it's a phasor) but you can recover the time domain function as ER = |VR|sin(ωt + ∅); Thus the ongoing "rotation" at rate ω is implicit, just as it is for phasor diagrams.

It's not missing, it's implicit in phasor diagrams (and the complex math version). It is part of the definition of phasors and how they relate to complex numbers, vectors, and exponentials, that the time dependent portion of each value is dropped in the notation since they remain constant throughout the calculations and are just 'baggage' to carry along through the algebra. What is key to doing circuit analysis with phasors is the magnitude and relative angle relationships between them. You can always recover the time domain expressions from the complex or phasor values.

Right. See above.

Thanks for the reply, I think I understand phasors better now.

And with reference to equation 2):
The p.d. across the resistor is given by VR = I0R sin (ωt). Does this mean that the actual drop in p.d is only the vertical component of I0R is taken at any point of time?
 
  • #10
unscientific said:
Thanks for the reply, I think I understand phasors better now.

And with reference to equation 2):
The p.d. across the resistor is given by VR = I0R sin (ωt). Does this mean that the actual drop in p.d is only the vertical component of I0R is taken at any point of time?

IoRsin(ωt) is a real-valued signal, what you'd measure if you could put a measuring device across it.

Io is a real constant giving the magnitude of the time-domain current. The impedance of a resistor is just R, a real value with no complex component, so the resistor doesn't do anything to alter the phase of the voltage across it w.r.t. the current.

In the phasor domain, if IoRsin(ωt) is used to provide the reference phase, then its phasor is just Io. The "sin(ωt)" becomes the implicit rotation/phase reference.

Now, if you were looking for the p.d. across the inductor with this (phasor) current Io flowing through it, then you'd have: ##V_L = I_o jωL##. That "j" tells you that the voltage you measure here will be 90° ahead of the current's phasor.

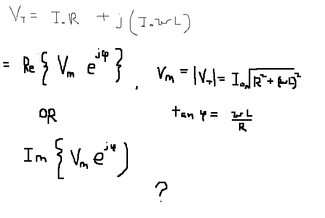
Using the same current as the reference but taking the total p.d. across the resistor+inductor you'd find: ##V_T = I_o (R + jωL)## . Now that's a p.d. with real and complex components. i.e., it has a phase with respect to the reference phasor, and in the time domain its voltage peaks are offset from the current's peaks. In fact,

##V(t) = V_m sin(ωt + \phi)## where:

##V_m = |V_T| = I_o\sqrt{R^2 + (ωL)^2}##
##\phi = tan^{-1}(ωL/R)##

Since phasors rotate implicitly, if we were to animate the diagram and allow it to rotate in real time, the "real" projection of a given phasor phasor onto the reference axis would vary in time just as you'd expect an AC signal to do. This "real" projection is what we'd measure at a given moment in time. But note that periodically the full length of a given phasor will coincide with the "real" axis. So we will measure the full magnitude of the phasor as the +/- limits of the given signal.
 
  • #11
gneill said:
IoRsin(ωt) is a real-valued signal, what you'd measure if you could put a measuring device across it.

Io is a real constant giving the magnitude of the time-domain current. The impedance of a resistor is just R, a real value with no complex component, so the resistor doesn't do anything to alter the phase of the voltage across it w.r.t. the current.

In the phasor domain, if IoRsin(ωt) is used to provide the reference phase, then its phasor is just Io. The "sin(ωt)" becomes the implicit rotation/phase reference.

Now, if you were looking for the p.d. across the inductor with this (phasor) current Io flowing through it, then you'd have: ##V_L = I_o jωL##. That "j" tells you that the voltage you measure here will be 90° ahead of the current's phasor.

Using the same current as the reference but taking the total p.d. across the resistor+inductor you'd find: ##V_T = I_o (R + jωL)## . Now that's a p.d. with real and complex components. i.e., it has a phase with respect to the reference phasor, and in the time domain its voltage peaks are offset from the current's peaks. In fact,

##V(t) = V_m sin(ωt + \phi)## where:

##V_m = |V_T| = I_o\sqrt{R^2 + (ωL)^2}##
##\phi = tan^{-1}(ωL/R)##

Since phasors rotate implicitly, if we were to animate the diagram and allow it to rotate in real time, the "real" projection of a given phasor phasor onto the reference axis would vary in time just as you'd expect an AC signal to do. This "real" projection is what we'd measure at a given moment in time. But note that periodically the full length of a given phasor will coincide with the "real" axis. So we will measure the full magnitude of the phasor as the +/- limits of the given signal.

So, do for the total voltage and voltage across inductor, do we take the real part or imaginary part?

2zqv2na.png
 
  • #12
unscientific said:
So, do for the total voltage and voltage across inductor, do we take the real part or imaginary part?

Um, for what purpose? Since for VT the driving current is the phase reference, time-domain versions of VT would be:

##V_T(t) = V_m cos(ω t + \phi)~~~~~~~## if the current is ## I(t) = I_o cos(ω t)##

##V_T(t) = V_m sin(ω t + \phi)~~~~~~~## if the current is ## I(t) = I_o sin(ω t)##

Keep in mind that phasors represent relative magnitudes and phases for related oscillating quantities; They aren't the signals themselves. When the phasors are imagined to rotate at rate ω, projection onto any fixed axis will yield the same relationships between the signals over time. It's a bit like looking at an indefinitely wide plot of all the signals and choosing an arbitrary starting point for t=0. Sliding the t=0 along alters the phase offset of all the signals by the same amount. You can find suitable starting points where the reference signal plot looks like a sine wave or a cosine wave, or anything in between.

For the RL circuit we've been looking at, the phasor for the voltage across the resistor lies in the same direction as that of the reference signal (here it's the current that's driving the circuit). The phasor for the inductor voltage is 90° offset from this reference direction. Adding the two yields the phasor for the total voltage ("apparent voltage"). It's a phasor with magnitude Vm. Now, if you stuck a meter across the circuit it would show an AC reading of magnitude Vm. Sticking the meter across the resistor would show an AC reading of magnitude IoR. Sticking a meter across the inductor would show an AC signal of magnitude IoωL (AC Voltmeters read the signal magnitude; they know nothing about phase).

You'll find that things get a bit more complicated when you start looking at the products of phasors rather than their addition. In particular, when you use phasors to find power. Then there's the concept of Real power and Reactive power and Apparent power... and some mathematical tricks are used to extract convenient relationships between them and average and RMS values of voltages, currents, and power. It would be best to consult a good textbook for that discussion...
 
  • #13
gneill said:
Um, for what purpose? Since for VT the driving current is the phase reference, time-domain versions of VT would be:

##V_T(t) = V_m cos(ω t + \phi)~~~~~~~## if the current is ## I(t) = I_o cos(ω t)##

##V_T(t) = V_m sin(ω t + \phi)~~~~~~~## if the current is ## I(t) = I_o sin(ω t)##

Keep in mind that phasors represent relative magnitudes and phases for related oscillating quantities; They aren't the signals themselves. When the phasors are imagined to rotate at rate ω, projection onto any fixed axis will yield the same relationships between the signals over time. It's a bit like looking at an indefinitely wide plot of all the signals and choosing an arbitrary starting point for t=0. Sliding the t=0 along alters the phase offset of all the signals by the same amount. You can find suitable starting points where the reference signal plot looks like a sine wave or a cosine wave, or anything in between.

For the RL circuit we've been looking at, the phasor for the voltage across the resistor lies in the same direction as that of the reference signal (here it's the current that's driving the circuit). The phasor for the inductor voltage is 90° offset from this reference direction. Adding the two yields the phasor for the total voltage ("apparent voltage"). It's a phasor with magnitude Vm. Now, if you stuck a meter across the circuit it would show an AC reading of magnitude Vm. Sticking the meter across the resistor would show an AC reading of magnitude IoR. Sticking a meter across the inductor would show an AC signal of magnitude IoωL (AC Voltmeters read the signal magnitude; they know nothing about phase).

You'll find that things get a bit more complicated when you start looking at the products of phasors rather than their addition. In particular, when you use phasors to find power. Then there's the concept of Real power and Reactive power and Apparent power... and some mathematical tricks are used to extract convenient relationships between them and average and RMS values of voltages, currents, and power. It would be best to consult a good textbook for that discussion...


So I suppose if you put a voltmeter across the entire circuit, when VT is expressed in complex notation:

to mathematically calculate/express the voltage you take the imaginary part of the function? (given it's sin (ωt + ∅))
 
  • #14
unscientific said:
So I suppose if you put a voltmeter across the entire circuit, when VT is expressed in complex notation:

to mathematically calculate/express the voltage you take the imaginary part of the function? (given it's sin (ωt + ∅))

No, the meter would read Vm, the magnitude of both the phasor and the complex number.

Suppose you have a voltage phasor E that's of length 10V and has a phase of 60° to the reference. The complex version would be E = 10V(cos(60°) + j sin(60°)), or E = (5 + 8.66j)V.

Consider the projection of this phasor on the reference axis. When the reference signal is at the start of its cycle our phasor E has a projection of length 5V on the reference axis. But ωt = 120 degrees later its projection will be the full -10V --- because phasors rotate they periodically project their full length along the reference axis.

Voltmeters have no way to distinguish relative phase. They just present the amplitude.
 
  • #15
gneill said:
No, the meter would read Vm, the magnitude of both the phasor and the complex number.

Suppose you have a voltage phasor E that's of length 10V and has a phase of 60° to the reference. The complex version would be E = 10V(cos(60°) + j sin(60°)), or E = (5 + 8.66j)V.

Consider the projection of this phasor on the reference axis. When the reference signal is at the start of its cycle our phasor E has a projection of length 5V on the reference axis. But ωt = 120 degrees later its projection will be the full -10V --- because phasors rotate they periodically project their full length along the reference axis.

Voltmeters have no way to distinguish relative phase. They just present the amplitude.

A few questions:

1) If the p.d. across the entire circuit is:

VT = 10 sin (ωt + ∅)
VT = 10 sin (ωt + 60o)
VT = 10 * IM [ ej(ωt + ∅) ]


Does the voltmeter measure vertical component of VT with respect to the fixed ωt = 0 or with respect to the I0R?

If it is measured with respect to I0R, both phasors VT and I0 are rotating at the same rate ω then won't the vertical component of VT against I0R be constant?


2) If VT = 10 sin (ωt + 60o), do i need to write:

VT = 10 * IM [ ej(ωt + ∅) ]

or can i simply write:

VT = 10*ej(ωt + ∅) ]
 
  • #16
unscientific said:
A few questions:

1) If the p.d. across the entire circuit is:

VT = 10 sin (ωt + ∅)
VT = 10 sin (ωt + 60o)
VT = 10 * IM [ ej(ωt + ∅) ]


Does the voltmeter measure vertical component of VT with respect to the fixed ωt = 0 or with respect to the I0R?
A voltmeter HAS NO PHASE REFERENCE, it just reports the magnitude of the peaks of the sine wave it sees over time.

You can take ANY axis through a phasor diagram (it just represents an angular offset from the reference) and ALL phasors will cycle through their full lengths as projections along that axis.
If it is measured with respect to I0R, both phasors VT and I0 are rotating at the same rate ω then won't the vertical component of VT against I0R be constant?
A meter measures the amplitude of the projection of the phasor, over time, against what is essentially a randomly chosen axis. It presents to you a time averaged value of the magnitude of the signal it sees.

Yes, phasors have fixed angular relationships to one another. As such, various projections of one onto the other have fixed sizes. But a "real life meter user" sees the result of the "profile" of many rotations of any given phasor.
2) If VT = 10 sin (ωt + 60o), do i need to write:

VT = 10 * IM [ ej(ωt + ∅) ]
The above two are equivalent versions of the time-domain signal. With Im() you've "picked out" the component of the expansion of ##e^{j\theta}## which matches the sine function, since
$$Ae^{j \theta} = A(cos(\theta) + j sin(\theta))$$
or can i simply write:

VT = 10*ej(ωt + ∅) ]
No, every value of that function would be a complex number so it wouldn't match your real valued sin() version.
 
  • #17
gneill said:
A voltmeter HAS NO PHASE REFERENCE, it just reports the magnitude of the peaks of the sine wave it sees over time.

You can take ANY axis through a phasor diagram (it just represents an angular offset from the reference) and ALL phasors will cycle through their full lengths as projections along that axis.

A meter measures the amplitude of the projection of the phasor, over time, against what is essentially a randomly chosen axis. It presents to you a time averaged value of the magnitude of the signal it sees.

Yes, phasors have fixed angular relationships to one another. As such, various projections of one onto the other have fixed sizes. But a "real life meter user" sees the result of the "profile" of many rotations of any given phasor.

The above two are equivalent versions of the time-domain signal. With Im() you've "picked out" the component of the expansion of ##e^{j\theta}## which matches the sine function, since
$$Ae^{j \theta} = A(cos(\theta) + j sin(\theta))$$

No, every value of that function would be a complex number so it wouldn't match your real valued sin() version.
So a voltmeter measures the VRMS value of the total voltage? which means
10/√2 ?

So there would be a constant reading of 10/√2?Since voltages across the circuit are "real values", do we simply take the real component? Or do we first examine the function whether it is a sin() or a cos() before taking the imaginary or real components respectively?
 
  • #18
unscientific said:
So a voltmeter measures the VRMS value of the total voltage? which means
10/√2 ?

So there would be a constant reading of 10/√2?
It depends upon how the voltmeter is constructed and calibrated. Most do simple peak-averaging for AC voltage (basically a rectifier followed by an integrator to hold the peak) and have their displays calibrated to display RMS assuming a sine wave signal. So yes, a constant reading of 10/√2 in this case.

An oscilloscope would "see" the full sinewave.
Since voltages across the circuit are "real values", do we simply take the real component? Or do we first examine the function whether it is a sin() or a cos() before taking the imaginary or real components respectively?

The problem is, you keep wanting to identify the "actual real-world measurable value" with one component of a phasor or the other. In general you can't. The real-world measurable value is the MAGNITUDE of the phasor. The phasor rotates and periodically (ω) presents ALL of its profile to any given axis. The meter sees an AC signal that oscillates between extrema which are the size of the phasor magnitude.

The purpose of the angle associated with the phasor, and the two separate components of its complex representation, is to keep track of the phase relationships between various quantities in the circuit.

Now, it may happen that you have a simple situation such as the RL circuit here where the phase difference between the voltages across the individual components is exactly 90 degrees. Then the total voltage across the two in series has a phasor representation which neatly places all the resistor's contribution in the real term and the inductor's in the imaginary term. That let's you select Re() or Im() of the phasor to pick out the individual voltages of those TWO components. It's a mathematical convenience here.

At this point you might want to think about what would happen if there were THREE components, such as another resistor in parallel with the inductor, or a capacitor added to the string. The components of the phasor for the total voltage aren't so easy to identify with individual components then.
 
  • #19
mm. The 'phasor', in this case, seems to just be the (complex) total voltage. So the phasor diagram shows the complex total voltage on the complex plane, for some particular value of time. And if we watched the phasor diagram evolve with time, then it would simply show it rotating in a circle around the origin. So the axes of the phasor diagram do not necessarily represent the voltages across the circuit components.

I was thinking about why we can use complex voltages, and I have a rough idea. But I would like to have a more concrete mathematical way of saying it. Often in electrical engineering, useful things like total voltage are the solution to an inhomogeneous, real linear differential equation. So this would be like an affine space over differentiable functions? I think to mathematically show that it is ok to find complex solutions, you need to give the real space a complex structure, then show that you can get back real solutions in a nice way.

Unfortunately, I don't have much experience in pure maths. I am more physics, so I have always just gone with the loose explanation of, oh just take real part at the end to get your physically measurable voltage. If I have time, I might start googling to look for the rigorous maths answer.
 

Similar threads

  • · Replies 4 ·
Replies
4
Views
2K
  • · Replies 2 ·
Replies
2
Views
2K
  • · Replies 13 ·
Replies
13
Views
9K
  • · Replies 3 ·
Replies
3
Views
2K
  • · Replies 7 ·
Replies
7
Views
3K
  • · Replies 1 ·
Replies
1
Views
3K
  • · Replies 1 ·
Replies
1
Views
2K
  • · Replies 4 ·
Replies
4
Views
1K
Replies
1
Views
5K
  • · Replies 6 ·
Replies
6
Views
3K