Upper and lower bounds of integral

  • Context: Undergrad 
  • Thread starter Thread starter ddddd28
  • Start date Start date
  • Tags Tags
    Bounds Integral
Click For Summary

Discussion Overview

The discussion revolves around the validity of a proposed inequality involving integrals and functions, particularly focusing on whether it holds true for all polynomial functions. Participants explore various examples and counterexamples to assess the general applicability of the inequality.

Discussion Character

  • Debate/contested
  • Mathematical reasoning

Main Points Raised

  • One participant questions the validity of the inequality, noting that it appears to work for some functions but seeks proof for all polynomial functions.
  • Another participant provides a counterexample using the function \( f(x) = x \), demonstrating that the integral can yield a value of zero while the right side of the inequality is undefined.
  • A different participant suggests that taking absolute values might resolve issues with the inequality, arguing that the formula could still hold under this condition.
  • One participant presents the function \( f(x) = x(1-x) \) and shows that the integral is greater than the average of the function values at the endpoints, supporting the inequality for this specific case.
  • Another participant introduces the function \( f(x) = \cos(x) \) over the interval \([0, 2\pi]\) to illustrate that the inequality does not hold, as the integral evaluates to zero while the left side is positive.
  • Some participants reiterate the need to consider absolute values in the context of the inequality, suggesting that this could change the outcome.
  • One participant summarizes that both the initial inequality and the proposed counterexamples are false, citing specific functions and intervals.

Areas of Agreement / Disagreement

Participants do not reach a consensus; multiple competing views remain regarding the validity of the inequality and the conditions under which it may hold true.

Contextual Notes

Participants express uncertainty about the assumptions underlying the inequality and the implications of using absolute values. The discussion highlights the need for careful consideration of function behavior over specified intervals.

ddddd28
Messages
73
Reaction score
4
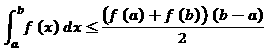
Is it always true that:
upload_2016-9-8_20-37-30.png


upload_2016-9-8_20-38-26.png

Noticing that it works for some functions, I wanted to ensure it is true for all of them( at least polynomical), but since I am still in high school, and I don't have deep understanding in calculus( yet), the question is forwarded to you. proof please!
 

Attachments

  • upload_2016-9-8_20-27-29.png
    upload_2016-9-8_20-27-29.png
    414 bytes · Views: 619
  • upload_2016-9-8_20-37-24.png
    upload_2016-9-8_20-37-24.png
    471 bytes · Views: 662
Last edited by a moderator:
Physics news on Phys.org
The first equation is obviously false. Consider: ##f: \mathbb{R} \rightarrow \mathbb{R}: x \mapsto x.##

Then, ##\int\limits_{-1}^1 x dx = 0##, while ##(b-a) \sqrt{f(a) f(b)} = 2 \sqrt{-1} \quad ##is not defined when we only allow real numbers.
 
Last edited by a moderator:
  • Like
Likes   Reactions: zaidalyafey
In order to calculate that area , one needs to divide the parts. Let's assume also that only the absolute values are taken, and then , there will not be any problems with the root output. Thus, the formula is still valid.
 
ddddd28 said:
In order to calculate that area , one needs to divide the parts. Let's assume also that only the absolute values are taken, and then , there will not be any problems with the root output. Thus, the formula is still valid.

I don't see absolute values in the formula itself though.
 
Consider the function

$$f(x) = x(1-x)$$

Then

$$\int^1_0 x(1-x) dx = \frac{x^2}{2}-\frac{x^3}{3} = \frac{1}{6} > \frac{f(1)+f(0)}{2} = 0$$
 
  • Like
Likes   Reactions: member 587159
ok, what about the first part of the formula?
 
Math_QED said:
The first equation is obviously false. Consider: ##f: \mathbb{R} \rightarrow \mathbb{R}: x \mapsto x.##

Then, ##\int\limits_{-1}^1 x dx = 0##, while ##(b-a) \sqrt{f(a) f(b)} = 2 \sqrt{-1} \quad ##is not defined when we only allow real numbers.
ddddd28 said:
In order to calculate that area ,
one needs to divide the parts.
@ddddd28, you posted an inequality that included a definite integral, which can represent an area, but doesn't have to.
The inequality was ##(b - a)\sqrt{f(a)f(b)} \le \int_a^b f(x) dx##
ddddd28 said:
Let's assume also that only the absolute values are taken, and then , there will not be any problems with the root output. Thus, the formula is still valid.
 
For the first equation. Consider the function

$$f (x) = \cos(x), a= 0 , b= 2\pi$$

$$2 \pi \sqrt {1 \times 1} >\int^{2\pi}_0\cos(x ) dx=0$$
 
ddddd28 said:
Is it always true that:
View attachment 105614

View attachment 105615
Noticing that it works for some functions, I wanted to ensure it is true for all of them( at least polynomical), but since I am still in high school, and I don't have deep understanding in calculus( yet), the question is forwarded to you. proof please!
Both false - simple counterexamples:
[itex](1) f(x)=x^2,\ a=-1,\ b=1,\ (2) f(x)=1-x^2,\ a=-1,\ b=1[/itex]
 
Last edited by a moderator:

Similar threads

  • · Replies 23 ·
Replies
23
Views
5K
  • · Replies 11 ·
Replies
11
Views
3K
  • · Replies 5 ·
Replies
5
Views
2K
Replies
11
Views
3K
  • · Replies 2 ·
Replies
2
Views
2K
  • · Replies 8 ·
Replies
8
Views
4K
  • · Replies 2 ·
Replies
2
Views
2K
  • · Replies 4 ·
Replies
4
Views
2K
  • · Replies 4 ·
Replies
4
Views
2K
Replies
2
Views
2K