Use Abel's identity to find the Wronskian

  • Thread starter Thread starter Fatima Hasan
  • Start date Start date
  • Tags Tags
    Identity Wronskian
Click For Summary
SUMMARY

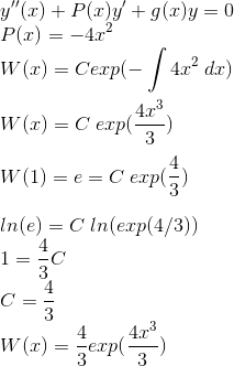
This discussion focuses on using Abel's identity to determine the Wronskian of a differential equation. The key equation presented is W(x) = C exp(-∫ P(x) dx), where P(x) is defined as -4x². The correct application of the integral leads to W(x) = C exp(∫ 4x² dx), highlighting the importance of maintaining the correct signs throughout the calculation. The conversation emphasizes the necessity of careful algebraic manipulation in solving differential equations.

PREREQUISITES
  • Understanding of differential equations
  • Familiarity with Abel's identity
  • Knowledge of Wronskian calculations
  • Basic integration techniques
NEXT STEPS
  • Study the derivation and applications of Abel's identity in differential equations
  • Learn how to compute the Wronskian for different types of functions
  • Explore advanced integration techniques relevant to differential equations
  • Review common mistakes in algebraic manipulation within calculus
USEFUL FOR

Students studying differential equations, mathematics educators, and anyone looking to deepen their understanding of Wronskian calculations and Abel's identity.

Fatima Hasan
Messages
315
Reaction score
14

Homework Statement


Capture.png


Homework Equations



gif.gif


The Attempt at a Solution


[/B]
3D%5Cfrac%7B4%7D%7B3%7D%5C%5CW%28x%29%3D%5Cfrac%7B4%7D%7B3%7Dexp%28%5Cfrac%7B4x%5E3%7D%7B3%7D%29.gif

Is my answer correct ?
 

Attachments

  • Capture.png
    Capture.png
    10.9 KB · Views: 950
  • gif.gif
    gif.gif
    1.8 KB · Views: 758
  • 3D%5Cfrac%7B4%7D%7B3%7D%5C%5CW%28x%29%3D%5Cfrac%7B4%7D%7B3%7Dexp%28%5Cfrac%7B4x%5E3%7D%7B3%7D%29.gif
    3D%5Cfrac%7B4%7D%7B3%7D%5C%5CW%28x%29%3D%5Cfrac%7B4%7D%7B3%7Dexp%28%5Cfrac%7B4x%5E3%7D%7B3%7D%29.gif
    4.7 KB · Views: 840
Physics news on Phys.org
Mark44 said:
It looks like you lost the minus sign in the second line that starts with W(x)
##P(x) = -4x^2##
##W(x) = C exp( - ∫ P(x) dx )##
##W(x) = C exp ( - ∫ - 4x^2 dx)##
##= C exp (∫ 4x^2 dx)##
 

Similar threads

Replies
2
Views
2K
Replies
1
Views
2K
Replies
7
Views
2K
  • · Replies 1 ·
Replies
1
Views
2K
  • · Replies 1 ·
Replies
1
Views
2K
  • · Replies 1 ·
Replies
1
Views
2K
Replies
5
Views
1K
  • · Replies 7 ·
Replies
7
Views
3K
Replies
3
Views
3K
Replies
19
Views
4K