Use logarithmic differentiation to find the derivative

Click For Summary

Homework Help Overview

The discussion revolves around using logarithmic differentiation to find the derivative of a function. Participants are exploring when it is appropriate to apply this technique, particularly in cases involving variables in both the base and exponent.

Discussion Character

  • Exploratory, Assumption checking, Conceptual clarification

Approaches and Questions Raised

  • Participants are questioning how to determine if logarithmic differentiation is the right approach for a given problem. There are discussions about the correctness of specific steps in the differentiation process and suggestions for simplification.

Discussion Status

Some participants have provided feedback on the original poster's work, pointing out errors and suggesting that the problem could potentially be solved more easily using the chain rule. There is no explicit consensus on the best approach, but various perspectives are being shared.

Contextual Notes

Participants note that logarithmic differentiation is typically used when the exponent is a variable, indicating a specific condition under which this method is preferred.

manal950
Messages
177
Reaction score
0
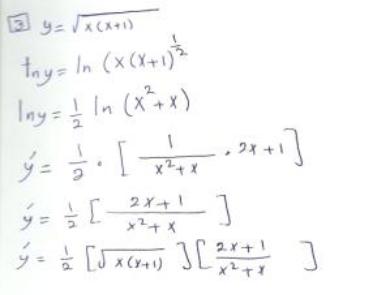
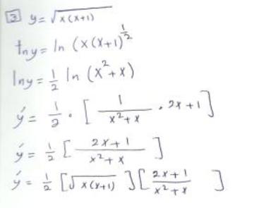
Hi ..


Use logarithmic differentiation to find the derivative

647224042.jpg


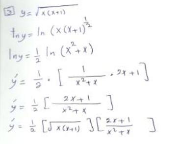
can please check my answer and How I can know if the question want answer by using logarithmic differentiation or not ?
 
Physics news on Phys.org
manal950 said:
Hi ..


Use logarithmic differentiation to find the derivative

647224042.jpg


can please check my answer and How I can know if the question want answer by using logarithmic differentiation or not ?

In your 4th line you have a mistake.
Your 3rd line is:
ln y = (1/2) ln(x2 + x)

When you differentiate the left side, you should get (1/y) y', due to the chain rule.

In your last line a factor of y seems to have magically popped up on the right side. You got the right value for the derivative, but several steps in between are incorrect.
 
manal950 said:
Hi ..

Use logarithmic differentiation to find the derivative

647224042.jpg


can please check my answer and How I can know if the question want answer by using logarithmic differentiation or not ?
Answer is correct, but as Mark pointed out there are some errors along the way.

It could be simplified. You have [itex]\ \sqrt{x^2+x}\[/itex] in the numerator and x2 + x in the denominator.

If you have x in an exponent and also have x in the base, then logarithmic differentiation can be helpful.

The function you are differentiating here can be done more easily by simply applying the chain rule.
 
You usually use logarithmic differentiation when the exponent is also a variable.

BiP
 
thanks so much ...
 
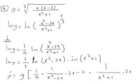
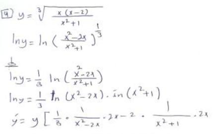
can check this answer please

828239533.jpg
 
manal950 said:
can check this answer please

828239533.jpg
You really should start a new thread for this.

The 1/3 multiplies both logarithms .
 
thansk
 

Similar threads

  • · Replies 2 ·
Replies
2
Views
1K
  • · Replies 6 ·
Replies
6
Views
2K
  • · Replies 4 ·
Replies
4
Views
1K
  • · Replies 7 ·
Replies
7
Views
2K
  • · Replies 5 ·
Replies
5
Views
2K
  • · Replies 10 ·
Replies
10
Views
2K
  • · Replies 2 ·
Replies
2
Views
3K
Replies
4
Views
2K
Replies
5
Views
2K
  • · Replies 6 ·
Replies
6
Views
2K