Visualizing Limits with Factorials and Powers

  • Thread starter Thread starter sedaw
  • Start date Start date
  • Tags Tags
    Limits
Click For Summary
SUMMARY

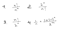
This discussion focuses on calculating limits involving factorials and powers, specifically the expressions n!/n^n, 2^n/n!, n!/2^n, and 1/n + [1 + (-1)^n] / [2^(1/n)]. Participants emphasize the importance of understanding the growth rates of factorials compared to exponential functions. A key insight shared is that n! consists of n terms, with one term being n and the others being less than n, while n^n consists entirely of n terms equal to n. This foundational understanding aids in visualizing the limits effectively.

PREREQUISITES
  • Understanding of factorial notation and properties
  • Familiarity with limits in calculus
  • Knowledge of exponential functions and their growth rates
  • Basic algebraic manipulation skills
NEXT STEPS
  • Study the asymptotic behavior of factorials using Stirling's approximation
  • Explore the concept of limits in calculus, focusing on L'Hôpital's Rule
  • Investigate the comparison of growth rates between factorials and exponential functions
  • Learn about convergence and divergence of series involving factorials and powers
USEFUL FOR

Students and educators in mathematics, particularly those studying calculus and analysis, as well as anyone interested in understanding the behavior of limits involving factorials and exponential functions.

sedaw
Messages
62
Reaction score
0
how to calculate the limits ?

resize.asp?image=1_124518892.jpg


appreciate any kind of help ...
 
Physics news on Phys.org


n!/n^n

2^n/n!

n!/2^n

1/n + [1 + (-1)^n] / [2^(1/n)]
 


You should show that you have done a little work on the problems.

Here is a hint to visualize some of the limits. n! is the product of n terms, one of them is n and the rest are all less than n. n^n is the product of n terms, all of them are n.
 

Similar threads

  • · Replies 5 ·
Replies
5
Views
1K
  • · Replies 9 ·
Replies
9
Views
2K
  • · Replies 9 ·
Replies
9
Views
3K
  • · Replies 10 ·
Replies
10
Views
2K
  • · Replies 7 ·
Replies
7
Views
1K
  • · Replies 5 ·
Replies
5
Views
2K
  • · Replies 5 ·
Replies
5
Views
2K
  • · Replies 58 ·
2
Replies
58
Views
5K
Replies
2
Views
1K
  • · Replies 16 ·
Replies
16
Views
3K