Water flowing from one vertical cylinder to another

Click For Summary
SUMMARY

The discussion centers on calculating the time it takes for water levels to equalize between two vertical cylinders with diameters D1=3 m and D2=4 m, and a hole diameter of d=10 cm. The initial height of water in the first cylinder is H=5 m, while the second cylinder is empty. The continuity equation and Bernoulli's equation are applied to derive the relationship between the water heights and flow rates. The final expression for equilibrium height is debated, with a need to clarify the variables involved to simplify the integration process.

PREREQUISITES
  • Understanding of fluid dynamics principles, specifically the continuity equation and Bernoulli's equation.
  • Familiarity with volume calculations for cylindrical shapes.
  • Basic calculus skills for integration and differentiation.
  • Knowledge of variable representation in fluid flow problems.
NEXT STEPS
  • Study the application of the continuity equation in fluid dynamics scenarios.
  • Learn how to derive and solve differential equations related to fluid flow.
  • Explore the implications of Bernoulli's equation in real-world fluid systems.
  • Investigate methods for simplifying multi-variable equations in fluid mechanics.
USEFUL FOR

Students and professionals in engineering, particularly those focusing on fluid dynamics, hydraulic engineering, and anyone involved in solving practical problems related to fluid flow between containers.

Tellerath
Messages
1
Reaction score
0
1. The problem statement, all variables, and given/known data
Two vertical cylinders rest on a flat surface, next to each other. Both have a hole on the side at the bottom so that the water can flow from one cylinder to the other without leakage. The diameter of the first cylinder is D1=3 m, the second D2 = 4 m, and the hole diameter is d=10 cm.
If the first cylinder is filled with water to the height of H=5m, and the other one is empty, find the time τ it takes for water levels to equalize.

Homework Equations


Continuity equation: Sv = const
Bernoulli equation:


The Attempt at a Solution


First, I determined the "equalized" height as follows:
(total volume) = (volume in the first cylinder after equalization) x (volume in the second cylinder after equalization)
Which gives:
D12H = D12he + D22he
So from here we get
he = 9H/25
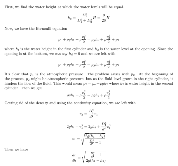
This seemed like a simple problem but ended up being quite challenging (at least to me). First, let v1, v3 and v2 be speeds of water (at any moment) in the first cylinder, through the opening, and in the second cylinder respectively.
upload_2017-5-18_11-47-26.png

(sorry for writing like this, but I was already comfortable with latex, so it seemed a faster approach )

I was very tempted to integrate here, but the problem is - h1 and h2 do not change in the same manner.
I cannot seem to be able to get past here.
 
Physics news on Phys.org
Probably a typo, but you give two different expressions for the equilibrium height. One has 26 in the denominator and the other 25.

More importantly, your final expression has three variables, h, h1 and h2. There should be only one, say h representing the height in the cylinder that was empty originally. Since the volume of the liquid is fixed, you can express the height of the liquid in the other cylinder as a function of h. Then get an expression for ##\frac{dt}{dh}##.
 
  • Like
Likes   Reactions: scottdave

Similar threads

  • · Replies 8 ·
Replies
8
Views
4K
  • · Replies 7 ·
Replies
7
Views
3K
  • · Replies 5 ·
Replies
5
Views
2K
Replies
5
Views
2K
  • · Replies 1 ·
Replies
1
Views
2K
  • · Replies 4 ·
Replies
4
Views
2K
  • · Replies 1 ·
Replies
1
Views
3K
Replies
1
Views
2K
  • · Replies 5 ·
Replies
5
Views
3K
Replies
0
Views
3K