What Are Waves in a Dispersive Medium?

  • Thread starter Thread starter unscientific
  • Start date Start date
  • Tags Tags
    Medium Waves
Click For Summary

Homework Help Overview

The discussion revolves around understanding waves in a dispersive medium, specifically focusing on the implications of superimposing waves with different wavelengths and the resulting group and phase velocities.

Discussion Character

  • Exploratory, Mathematical reasoning, Assumption checking

Approaches and Questions Raised

  • Participants explore the concept of superimposing waves with varying wave numbers and angular frequencies, questioning how to prove relationships between group velocity and phase velocity under different conditions.

Discussion Status

Some participants are attempting to derive expressions related to wave behavior in dispersive media, while others express uncertainty about their approaches and seek clarification on specific calculations and assumptions.

Contextual Notes

There appears to be confusion regarding the conditions under which certain approximations hold, particularly in relation to the parameters h, k, and λ. Participants are also grappling with the implications of their assumptions on the results they are obtaining.

unscientific
Messages
1,728
Reaction score
13

Homework Statement


s656v8.png



Homework Equations





The Attempt at a Solution


2uzf5dz.png


i have no clue about the second part..
 
Physics news on Phys.org
bumpp
 
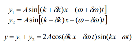
Am I suppose to superimpose the following waves:

exp i(kx - wt) + exp i((k+Δk)x - w't)

whereby the other wave has a different wavelength such that k becomes k+Δk and w becomes w' (with k+Δk) ?

op66g.png


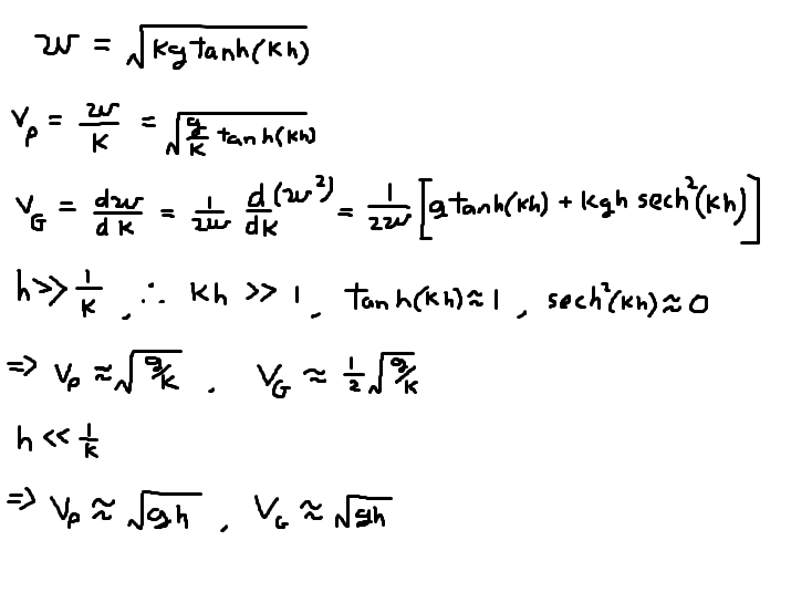
So I found that at h >> 1/k or h >> λ/2∏

vg = (1/2) vg

And at h << 1/k or h << λ/2∏

vg ≈ vpI first assume that h >> 1/k or h >> λ/(2∏): But how do i prove this? I can't seem to solve the tanh function to find the value of k..

I got:
0.16≈k*tanh(1000k)

If i assume k≈0.16 since tanh(160) ≈ 1..
i get vp = 7.9m/s
Time taken = 35 hours..
 
Last edited:
bumpp
 
bumpp anyone?
 

Similar threads

Replies
3
Views
1K
Replies
1
Views
2K
Replies
3
Views
2K
  • · Replies 5 ·
Replies
5
Views
2K
  • · Replies 5 ·
Replies
5
Views
3K
Replies
2
Views
2K
  • · Replies 3 ·
Replies
3
Views
2K
  • · Replies 1 ·
Replies
1
Views
2K
  • · Replies 1 ·
Replies
1
Views
2K
Replies
4
Views
2K