What happens in this step function?

  • Context: Undergrad 
  • Thread starter Thread starter garylau
  • Start date Start date
  • Tags Tags
    Function Step function
Click For Summary

Discussion Overview

The discussion revolves around the properties and implications of a step function, specifically the behavior of the function at the point x=0 and its impact on integrals. Participants explore the definitions of open and closed intervals in the context of integration, the significance of the value of the function at a single point, and the treatment of limits in improper integrals.

Discussion Character

  • Debate/contested
  • Mathematical reasoning

Main Points Raised

  • Some participants assert that the value of theta at x=0 is often taken to be 0, 1/2, or 1, but they argue that it does not affect the integral's value.
  • Others question why the integral includes the point x=0 if theta(0) is not defined, suggesting that it contradicts the definition of an integral.
  • There is a discussion about the nature of intervals, with some participants noting that an open interval does not include its endpoints, while others argue that the definition of the integral requires closed intervals.
  • Some participants propose that changing the value of the integrand at a single point does not affect the overall value of the integral, while others challenge this by suggesting that if f(0) is large, it could have a significant impact.
  • A later reply references the Riemann integral and discusses the limits involved in defining integrals, indicating that there may be confusion regarding the treatment of limits approaching zero versus infinity.
  • One participant expresses concern about a quoted definition that seems to differ from their understanding, particularly regarding the treatment of limits in improper integrals.

Areas of Agreement / Disagreement

Participants express differing views on the significance of the value of the function at x=0 and its implications for integrals. There is no consensus on whether the inclusion of x=0 in the integral is appropriate or how it should be treated in relation to the definition of integrals.

Contextual Notes

Participants reference various definitions and properties of integrals, indicating potential limitations in their understanding or application of these concepts, particularly regarding open versus closed intervals and the treatment of limits.

garylau
Messages
70
Reaction score
3
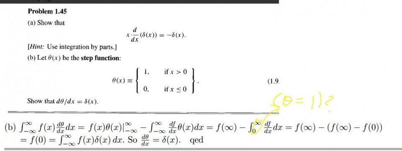
when the x>0,then the theta is equal to 1
So the theta =0 when x=0

in the second term of the integral,
it starts to integrate the function from "0 "to infinity(see the yellow loop inside)Since the" 0 "should not be included ,otherwise theta(0)=0 and (0*df/dt)=0

but why the 0 is still included in the integral to integrate the integrand!??

Sorry
i got confused
can anyone help me

thank you!??
 

Attachments

  • 15078666_1009225375866479_7829671217989776891_n.jpg
    15078666_1009225375866479_7829671217989776891_n.jpg
    21.9 KB · Views: 493
Physics news on Phys.org
An open interval does not include its endpoints, and is indicated with parentheses. For example, (0,1) means greater than 0 and less than 1. A closed intervalincludes its endpoints, and is denoted with square brackets. For example, [0,1] means greater than or equal to 0 and less than or equal to 1.

however
in the definition of the intregral ,the lower and upper limit should be closed interval rather than open interval

So did they do something wrong?

however,the step function does not include x=0(which is the end point) (or x<0) So it is open interval rather than closed interval
So it didn't fit the definition of an integral ?
 

Attachments

  • images.jpg
    images.jpg
    30.2 KB · Views: 436
The value of theta(0) is not important it is often taken to be 0, 1/2, or 1; but it does not matter.
The value of a function at one point does not effect an integral.
 
  • Like
Likes   Reactions: garylau
garylau said:
Since the" 0 "should not be included ,otherwise theta(0)=0 and (0*df/dt)=0

but why the 0 is still included in the integral to integrate the integrand!??
  • [itex]\int_{a}^{\infty}f(x)dx[/itex] is defined as [itex]\lim_{u\rightarrow\infty}\int_{a}^{u}f(x)dx[/itex]
  • In the same manner, if [itex]\lim_{p\rightarrow 0}\int_{p}^{u}f(x)dx[/itex] exists, [itex]\int_{0}^{u}f(x)dx = \lim_{p\rightarrow 0}\int_{p}^{u}f(x)dx[/itex].
  • Informally: Changing the value of the integrand at a single point does not affect the value of the integral.
 
  • Like
Likes   Reactions: garylau
lurflurf said:
The value of theta(0) is not important it is often taken to be 0, 1/2, or 1; but it does not matter.
The value of a function at one point does not effect an integral.
it may be affect so much if f(0) is very large

therefore the difference between f(0)*1 and f(0)*0 will be large?
 
Svein said:
  • [itex]\int_{a}^{\infty}f(x)dx[/itex] is defined as [itex]\lim_{u\rightarrow\infty}\int_{a}^{u}f(x)dx[/itex]
  • In the same manner, if [itex]\lim_{p\rightarrow 0}\int_{p}^{u}f(x)dx[/itex] exists, [itex]\int_{0}^{u}f(x)dx = \lim_{p\rightarrow 0}\int_{p}^{u}f(x)dx[/itex].
  • Informally: Changing the value of the integrand at a single point does not affect the value of the integral.
Svein said:
  • [itex]\int_{a}^{\infty}f(x)dx[/itex] is defined as [itex]\lim_{u\rightarrow\infty}\int_{a}^{u}f(x)dx[/itex]
  • In the same manner, if [itex]\lim_{p\rightarrow 0}\int_{p}^{u}f(x)dx[/itex] exists, [itex]\int_{0}^{u}f(x)dx = \lim_{p\rightarrow 0}\int_{p}^{u}f(x)dx[/itex].
  • Informally: Changing the value of the integrand at a single point does not affect the value of the integral.
But why the definition from the website that i quote is quiet different

The limit is belong to closed interval rather than open interval except the (+ / )infinite large's one

Where is your definition coming from(the one which imclude limit u-->0?
the improper integral is for infinite limit only but not for u=0 ?
 
First: See https://en.wikipedia.org/wiki/Riemann_integral.
Second: Take the integral [itex]\int_{\epsilon}^{1}\theta(x)dx[/itex]. Since θ(x) = 1 for x>0, the value is 1 - ε. Therefore (since ε is arbitrary) the integral is 1.
garylau said:
Where is your definition coming from(the one which imclude limit u-->0?
the improper integral is for infinite limit only but not for u=0 ?
An integral is defined as some limit (see the link above). The only problem with Riemann integrals are that there may not be a limit. In this case there is a limit.

That aside, I definitely do not like the paragraph b) in your quote. It assumes that ∞ - ∞ = 0, which is not necessarily true. In fact, ∞ - ∞ has no definite value.
 
  • Like
Likes   Reactions: garylau

Similar threads

  • · Replies 3 ·
Replies
3
Views
2K
  • · Replies 4 ·
Replies
4
Views
2K
  • · Replies 3 ·
Replies
3
Views
3K
  • · Replies 25 ·
Replies
25
Views
4K
  • · Replies 4 ·
Replies
4
Views
4K
  • · Replies 3 ·
Replies
3
Views
2K
  • · Replies 2 ·
Replies
2
Views
4K
  • · Replies 2 ·
Replies
2
Views
2K
  • · Replies 1 ·
Replies
1
Views
3K
  • · Replies 3 ·
Replies
3
Views
4K