What Happens to Angular Acceleration and Moment of Inertia in a Pulley System?

Click For Summary
SUMMARY

The discussion focuses on the effects of mass and radius on angular acceleration (α) and moment of inertia (I) in a pulley system involving a long rod and point masses. It concludes that increasing the mass on the mass holder does not change α or I, while increasing the radius of the wheel decreases α but does not affect I. The conversation highlights the importance of understanding the relationship between tension and mass in rotational dynamics, referencing Galileo's principles and the moment of inertia for different shapes.

PREREQUISITES
  • Understanding of rotational dynamics and Newton's laws
  • Familiarity with moment of inertia calculations for various shapes
  • Knowledge of torque and its relationship to angular acceleration
  • Basic principles of tension in pulley systems
NEXT STEPS
  • Study the derivation of moment of inertia for composite systems
  • Learn about the effects of tension in pulley systems on angular motion
  • Explore the relationship between radius and angular acceleration in rotating systems
  • Investigate the implications of mass distribution on moment of inertia
USEFUL FOR

Physics students, educators, and anyone interested in understanding the principles of rotational motion and dynamics in mechanical systems.

Daisy Muller
Messages
1
Reaction score
0
upload_2016-4-28_15-59-54.png


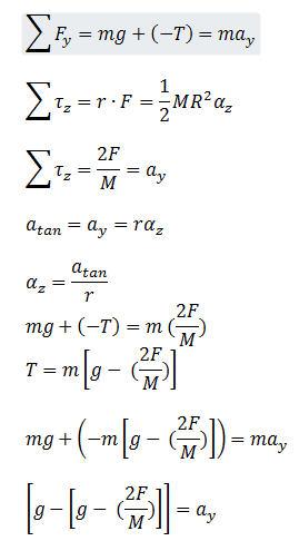
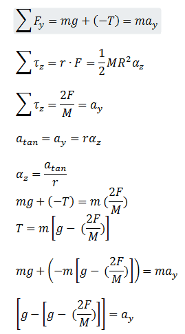
1. Homework Statement

In each question: you place mass m on the mass holder, and released the system from rest. The system includes the long rod with two point masses on it (see the picture next to the list of equipment).

Since this is a rotational and translational motion, I set up two equations: sum of the force and torque

unknown will be angular acceleration and moment of inertia.

Homework Equations



upload_2016-4-28_15-30-53.png


The Attempt at a Solution



Sorry. I guess I put my solution in the above.
a)
if you increase m, the mass on the mass holder, what happens to the following quantities:
- α, the angular acceleration of the pulley.
- I, the moment of inertia of the pulleys-plus-rod system.

The change of mass in the holder won't affect either of them. Therefore, they remain unchanged. Although I tempt to follow other opinions on web, adding extra weight will increase the velocity. But somehow Galileo keeps popping up in my head.

b)
you wrap the string around the smallest radius wheel in the "3-step pulley" (see diagram). If you wrap the string around a greater radius wheel, using the same mass on the mass holder, what will happen to the following quantitiesA:
- α, the angular acceleration of the pulley.
- I, the moment of inertia of the pulleys-plus-rod system.
upload_2016-4-28_15-38-43.png

Increase the radius will make angular acceleration smaller; therefore, angular acceleration will be decreased. Here is something I don't understand. I don't see the I= moment of inertia in the final equation and I tempted to go back to rotational motion and use it to interpret it. But I know something's wrong. Because it doesn't include in the final solution. Sorry. If I keep repeating myself, hopefully it'll not confuse you.

Therefore, I propose the moment of inertia remains unchanged even the radius is increased.

c)
if you move the two masses attached to the rotating rod away from the center of mass of the rod, what happens to the following quantities:
- α, the angular acceleration of the pulley.
- I, the moment of inertia of the pulleys-plus-rod system.

I don't know what I think of the last part. There is another system on top of the disk. It means another radius and new mass introduce into the system. I did this lab already. I remember it didn't affect the result. But I don't want to rely on memory. Can you shed some light on it? Daisy
 

Attachments

  • upload_2016-4-28_15-4-52.png
    upload_2016-4-28_15-4-52.png
    10.1 KB · Views: 1,002
  • upload_2016-4-28_15-26-47.png
    upload_2016-4-28_15-26-47.png
    3.2 KB · Views: 858
Physics news on Phys.org
... don't just guess: explain your reasoning.
One way to check is to relate the question to similar systems you are already familiar with ... ie. if the hanging mass were just dragging a block across the table instead of turning something, would adding more mass affect the acceleration of the hanging mass?

Have you looked at a simple version - say, one that uses massless pulleys?

I think doing the math for the simpler system will help you understand how to answer the questions better.
 
Daisy Muller said:
View attachment 99918

1. Homework Statement

In each question: you place mass m on the mass holder, and released the system from rest. The system includes the long rod with two point masses on it (see the picture next to the list of equipment).

Since this is a rotational and translational motion, I set up two equations: sum of the force and torque

unknown will be angular acceleration and moment of inertia.

Homework Equations



View attachment 99914

The Attempt at a Solution



Sorry. I guess I put my solution in the above.
a)
if you increase m, the mass on the mass holder, what happens to the following quantities:
- α, the angular acceleration of the pulley.
- I, the moment of inertia of the pulleys-plus-rod system.

The change of mass in the holder won't affect either of them. Therefore, they remain unchanged. Although I tempt to follow other opinions on web, adding extra weight will increase the velocity. But somehow Galileo keeps popping up in my head.

b)
you wrap the string around the smallest radius wheel in the "3-step pulley" (see diagram). If you wrap the string around a greater radius wheel, using the same mass on the mass holder, what will happen to the following quantitiesA:
- α, the angular acceleration of the pulley.
- I, the moment of inertia of the pulleys-plus-rod system.
View attachment 99915
Increase the radius will make angular acceleration smaller; therefore, angular acceleration will be decreased. Here is something I don't understand. I don't see the I= moment of inertia in the final equation and I tempted to go back to rotational motion and use it to interpret it. But I know something's wrong. Because it doesn't include in the final solution. Sorry. If I keep repeating myself, hopefully it'll not confuse you.

Therefore, I propose the moment of inertia remains unchanged even the radius is increased.

c)
if you move the two masses attached to the rotating rod away from the center of mass of the rod, what happens to the following quantities:
- α, the angular acceleration of the pulley.
- I, the moment of inertia of the pulleys-plus-rod system.

I don't know what I think of the last part. There is another system on top of the disk. It means another radius and new mass introduce into the system. I did this lab already. I remember it didn't affect the result. But I don't want to rely on memory. Can you shed some light on it?Daisy
Hello Daisy Muller. Welcome to PF !

A general comment. You included many equations, which is fine, but you tended to ignore them.

For (a):
Galileo feels as though he has been misquoted.

Look at your 1st equation. It's true that if the tension in the string (Is that T?) is zero, then doubling the mass will have no effect. You can give Galileo credit there. But T is not zero.

I have a question concerning your 2nd equation. The (½)MR2 is the moment of inertia for a uniform disk. That does not seem correct here. In fact, if the mass of the two rotating masses is much greater the the rotating rod, then the moment of inertia of the rotating system is more nearly MR2 .
 

Similar threads

  • · Replies 13 ·
Replies
13
Views
3K
Replies
8
Views
15K
Replies
8
Views
6K
  • · Replies 9 ·
Replies
9
Views
2K
  • · Replies 1 ·
Replies
1
Views
1K
  • · Replies 10 ·
Replies
10
Views
6K
  • · Replies 7 ·
Replies
7
Views
2K
Replies
8
Views
3K
  • · Replies 3 ·
Replies
3
Views
2K
  • · Replies 42 ·
2
Replies
42
Views
4K