What is the Correct Equation for Finding the Centroid of a Circle?

  • Context: Graduate 
  • Thread starter Thread starter 6Stang7
  • Start date Start date
  • Tags Tags
    Calculus
Click For Summary
SUMMARY

The correct equation for finding the centroid of a circle is derived using the formula y = r - √(2rx - x²), which differs from the standard circle equation (x-a)² + (y-b)² = r². The area under the curve was calculated using both Mathcad and The Integrator, but both methods yielded incorrect results, with Mathcad producing a negative area and The Integrator resulting in imaginary components. The TI-84 calculator confirmed the area under the curve matched the known value, validating the equation for the curve. The centroid coordinates are given by the equations &bar;x = &bar;y = (r(10 - 3π))/(12 - 3π).

PREREQUISITES
  • Understanding of calculus, specifically integration techniques.
  • Familiarity with the centroid concept in geometry.
  • Experience using Mathcad and The Integrator software.
  • Knowledge of TI-84 calculator functions for area under curves.
NEXT STEPS
  • Research the derivation of the centroid formula for non-standard shapes.
  • Learn advanced integration techniques to avoid negative or imaginary results.
  • Explore the capabilities of Mathcad and The Integrator for geometric calculations.
  • Study the properties of circles and their equations in Cartesian coordinates.
USEFUL FOR

Students and professionals in mathematics, engineering, and physics who are working on geometric calculations, specifically those interested in centroids and integration methods for curves.

6Stang7
Messages
212
Reaction score
0
I'm trying to determine the centroid of the shape below:
MRbfl.jpg


The curve line is that of a circle, but the equation of for a circle, (x-a)2+(y-b)2=r2, won't work here for obvious reasons, but the equation y=r-[tex]\sqrt{2rx-x^{2}}[/tex] does.

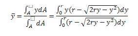
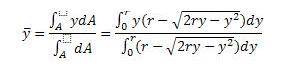
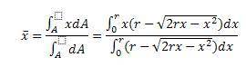
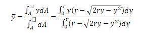
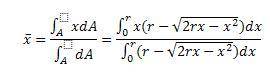
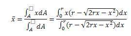
To determine the location of the centroid, the formula is:

uvwMP.jpg

EtVOC.jpg


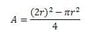
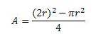
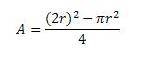
To ensure that the equations that I am using are correct, I am going to compare the area calculated by integrating the line with respect to it's corresponding axis against this equation:
Wddr8.jpg

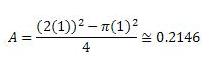
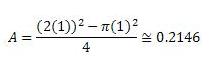
Let's assume that we have a circle with a radius r=1. The area is therefore:

BtCtj.jpg

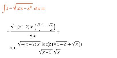
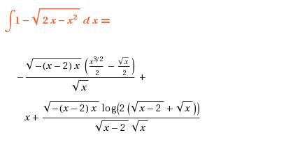
Now, I solved the integral two ways: one with Mathcad, and the other with The Integrator.

When I solve it with Mathcad, I get:

112B8.jpg


which is wrong because the area calculated is negative. When I solve it with The Integrator, I get:

p5yPi.jpg


which is also wrong because if this equation where evaluated, you would obtain a number with imaginary components.

I type this equation into my TI-84 and had it calculate the area under the curve and it got an answer that agreed with the known value, so the equation for the curve is correct.

It's been awhile since I've used calculus like this, but this problem should be very straight forward; however, that is not turning out to be the case.

Where have I gone wrong?

EDIT: I'd like to point out that I've already solved for the location of the centroid using a different method. I posted this because I'm more interested in finding out why this method isn't working for me.
 

Attachments

  • MRbfl.jpg
    MRbfl.jpg
    509 bytes · Views: 401
  • p5yPi.jpg
    p5yPi.jpg
    6.4 KB · Views: 998
  • 112B8.jpg
    112B8.jpg
    509 bytes · Views: 460
  • BtCtj.jpg
    BtCtj.jpg
    2.4 KB · Views: 432
  • Wddr8.jpg
    Wddr8.jpg
    1.3 KB · Views: 426
  • EtVOC.jpg
    EtVOC.jpg
    4.3 KB · Views: 418
  • uvwMP.jpg
    uvwMP.jpg
    4 KB · Views: 434
Last edited:
Physics news on Phys.org
6Stang7 said:
I'm trying to determine the centroid of the shape below:
MRbfl.jpg


The curve line is that of a circle, but the equation of for a circle, (x-a)2+(y-b)2=r2, won't work here for obvious reasons, but the equation y=r-[tex]\sqrt{2rx-x^{2}}[/tex] does.

To determine the location of the centroid, the formula is:

uvwMP.jpg

EtVOC.jpg

These equations look correct to me. I get

[tex]\bar{x} = \bar{y}= \frac{r(10-3\pi)}{12-3\pi}[/tex]
 
LCKurtz said:
These equations look correct to me. I get

[tex]\bar{x} = \bar{y}= \frac{r(10-3\pi)}{12-3\pi}[/tex]

That is exactly the answer. Can you please go into some detail about how you obtained it? Can you also explain why I am not getting the correct answer when I try integrating for the area under the curve?
 

Similar threads

  • · Replies 5 ·
Replies
5
Views
4K
  • · Replies 2 ·
Replies
2
Views
3K
  • · Replies 2 ·
Replies
2
Views
3K
  • · Replies 29 ·
Replies
29
Views
5K
  • · Replies 20 ·
Replies
20
Views
4K
  • · Replies 11 ·
Replies
11
Views
3K
  • · Replies 1 ·
Replies
1
Views
3K
  • · Replies 12 ·
Replies
12
Views
3K
  • · Replies 9 ·
Replies
9
Views
3K
  • · Replies 3 ·
Replies
3
Views
2K