What is the Correct Equation for Velocity on a Curved Surface?

  • Thread starter Thread starter NTesla
  • Start date Start date
  • Tags Tags
    Motion Surface
Click For Summary

Homework Help Overview

The discussion revolves around determining the correct equation for velocity on a curved surface, particularly focusing on the components of velocity and the dynamics involved in a mass moving along a curved track. The participants explore various aspects of the problem, including the application of conservation of energy and the interpretation of the motion's equations.

Discussion Character

  • Exploratory, Conceptual clarification, Mathematical reasoning, Problem interpretation, Assumption checking

Approaches and Questions Raised

  • Participants discuss the original poster's attempts to derive the equation for horizontal velocity and question the validity of certain steps taken, such as the treatment of variables and the use of integral signs. There is also exploration of the relationship between velocity components and the angle of the curve.

Discussion Status

Several participants have offered insights into the original poster's approach, suggesting alternative methods and questioning assumptions made in the calculations. There is an ongoing examination of the equations presented, with some participants noting potential errors and others providing clarifications on the physical principles involved.

Contextual Notes

Participants note that the problem may involve multiple parts or interpretations, particularly regarding the conditions under which the mass is analyzed on the curved surface. There is also mention of potential complexities in solving the resulting equations, including the possibility of needing advanced mathematical functions.

NTesla
Messages
276
Reaction score
28
Homework Statement
A bullet of mass 10 g moving horizontally at a speed of 50*sqrt(7) m/s strikes a block of mass 490g kept on a frictionless track as shown in figure below. The bullet remains inside the block and the system proceeds towards the semicircular track of radius 0.2 m. What will be the expression for velocity vx(i.e velocity in the horizontal direction) and vy(velocity in the vertical direction) of the combined mass of bullet and the block, till the combined mass is on the curved surface of the track ?
Relevant Equations
Newton's laws of motion.
semicircular track.png

Here's my solution:
WhatsApp Image 2020-11-11 at 11.14.15 AM.jpeg


I've tried to find the equation of vx. But the graph that it is generating is not right. I am not able to figure out what is wrong in the equation for vx. Please let me know where is the equation wrong and what is wrong?
Here's the graph:
g.png
 
Physics news on Phys.org
It says "till the combined mass is on the curved surface of the track ", but you seem to be analysing it while it is on the curved surface.
Is there perhaps a second part to the question, which asks for that, or have you misquoted the question?

Wrt your working, where you introduce the integral signs you have moved a v2 term outside, but v is a variable.
 
Last edited:
  • Love
Likes   Reactions: Delta2
You first part for finding ##v## is correct. You could have arrived at the same result without solving a differential equation, by just applying conservation of energy.

Not sure where you go wrong in the second part for ##v_x## but simply put by analyzing ##v## into x and y components isn't ##v_x=v\cos\theta## (and ##v_y=v\sin\theta##)?

Now, if the problem asks to determine ##\theta(t)## then we got to follow a different approach.
 
haruspex said:
It says "till the combined mass is on the curved surface of the track ", but you seem to be analysing it while it is on the curved surface.
Is there perhaps a second part to the question, which asks for that, or have you misquoted the question?

Wrt your working, where you introduce the integral signs you have moved a v2 term outside, but v is a variable.
The combined mass will eventually fly away and will fall at the junction of the straight path and the curved path. I'm trying to find out the horizontal velocity of the combined mass as long as it is traversing on the curved path.

However, your observation is correct. I've mistakenly kept v^2 outside the integral sign. I'll work on it and see if it gives a satisfactory answer.
Thanks..
 
Delta2 said:
You first part for finding ##v## is correct. You could have arrived at the same result without solving a differential equation, by just applying conservation of energy.

Not sure where you go wrong in the second part for ##v_x## but simply put by analyzing ##v## into x and y components isn't ##v_x=v\cos\theta## (and ##v_y=v\sin\theta##)?

Now, if the problem asks to determine ##\theta(t)## then we got to follow a different approach.

I don't know why I didn't think of that instead of trying to go the way I did.. but if my equations are correct I should arrive at the same result of vcos(x).
 
  • Like
Likes   Reactions: Delta2
@Delta2
You've mentioned in your comment that if suppose theta(t) was to asked to be found, then a different approach was needed.. I am wondering what approach are you talking about..
 
Actually the approach is an extension of what you did. You found ##v^2##. You replace in that expression the v as follows ##v=\omega R=\frac{d\theta}{dt}R## and you 'll find a differential equation for ##\theta(t)## of second degree and first order. This differential equation I think it has no analytical solutions (closed form solutions) and that is mainly because it contains the ##\cos\theta(t)## term.
 
  • Like
Likes   Reactions: NTesla
I tried solving for theta(t). The equation I got is:
##\frac{d\theta }{dt} = \sqrt{\frac{v_{0}}{R^{2}}-\frac{4g}{R}Sin^{2}\frac{\theta }{2}}##

I couldn't solve it manually. However, when I used Wolfram Alpha I got a solution, which I'm sure I do not understand: Check this link:
https://www.wolframalpha.com/input/?i=dθ/dt+=+sqrt(175-200sin^2(θ/2))

The solution that wolfram is showing is this:
s.png

Is there any other way without using Jacobi Amplitude function ?
 
NTesla said:
I tried solving for theta(t). The equation I got is:
##\frac{d\theta }{dt} = \sqrt{\frac{v_{0}}{R^{2}}-\frac{4g}{R}Sin^{2}\frac{\theta }{2}}##

I couldn't solve it manually. However, when I used Wolfram Alpha I got a solution, which I'm sure I do not understand: Check this link:
https://www.wolframalpha.com/input/?i=dθ/dt+=+sqrt(175-200sin^2(θ/2))

The solution that wolfram is showing is this: View attachment 272454
Is there any other way without using Jacobi Amplitude function ?
The physical system while the mass is on the lower quadrant is identical to a very well known one which is mostly taught only in the small angle approximation, for the very good reason that a full analytic solution involves infinite series.

Are you quite sure you are expected to solve this? As I pointed out (but I'm not sure you understood), the question as you quoted it in post #1 does not ask you to solve it.
 
  • #10
a very known one.. ! What am I missing here.. Could you please elaborate ?
 
  • #13
I think in your first expression for ##d v_x/dt ## that you have the wrong sign on your ## mg \cos{\theta} ## term. Not completely sure, but will try to verify. Edit: My mistake. I think you have this one right.
 
Last edited:
  • #14
I spotted what I think is another error. You treat ##v^2 ## as a constant when integrating the expression in the ##v_x ## calculation, when you need to substitute in the ## v^2 ## expression at the top, before integrating over ## \theta##. Edit: I see @haruspex saw this early on in post 2. I think this does give a correct answer. (second edit=scratch that=see post 16). You can check for ## \theta=\pi/2 ##, and you should get ## v_x=0 ##, but that is not definitive.
 
Last edited:
  • #15
NTesla said:
I had thought that you might be talking about Pendulum. but then thought may be you might be talking about something else too..
Do you see that the physics are the same?

You still have not responded to my reading of the question, namely, that you are not asked to solve the motion while on the curved surface, nor to my inquiry as to whether there are more parts to the question.
 
  • #16
I'm not sure that the physics of the problem where the OP writes out ## dv_x/dt ## is correct. (There is no consideration of the forces and accelerated motion tangent to the path, that will also contribute to ## dv_x/dt ##). [Edit: I now believe his ## dv_x/dt ## is incorrect]. If the OP already has the expression for ## v ## on the track, I think he should be able to say ## v_x=v |\cos{\theta}| ##. (The expression for ## v ## is correct, and can readily be verified by energy considerations.)
Second edit: I computed further, including the term for acceleration tangent to the path. The results are then consistent with ## v_x=v \cos{\theta} ##. The ## v_x \, dv_x ## expression that the OP tries to compute is more readily obtained by simply saying ## v_x=v \cos{\theta} ##, and taking differentials on both sides, so that ## dv_x=-v \sin{\theta} \, d \theta+\cos{\theta} \, (dv/d \theta) \, d \theta ##, and using ## v^2=v_o^2-2gR(1-\cos{\theta}) ##. Finding ## v_x ## by the OP's method is so much extra work=(he left out a term), and all you need to do is say ## v_x=v \cos{\theta} ##.
 
Last edited:
  • Like
Likes   Reactions: Delta2
  • #17
To add to the above, the contribution to ## dv_x/dt ## from accelerations tangent to the path is ## -g \sin{\theta} ## multiplied by ## \cos{\theta} ## to get the horizontal component of ## -g \sin{\theta} ##. The overall result of this, if I computed it correctly, is to put a factor of 2 on the ## mg\cos{\theta} ## term of the OP's 2nd line of the ## v_x ## calculation. Edit: Scratch the last statement, and see below:
Edit: This took a lot of extra work to resolve, because the OP's calculation gets the correct result, but seemingly for the wrong reason. In the normal direction, ## F_{N \, net}=mv^2/R ##. Meanwhile, the acceleration in the normal direction is ## v^2/R ##. The component of this acceleration in the x direction is ## -(v^2/R) \sin{\theta} ##. There is an additional component of acceleration in the x direction from the tangential component ## -g \sin{\theta} ##. To get the component that is in the x direction, it needs to be multiplied by ## \cos{\theta} ##. The result is that the OP does indeed get the correct result for ## v_x \, d v_x ##, but I believe his explanation is incorrect. Basically the process is that we have ## a_{x'} ## and ## a_{y'} ##, and we are needing to compute ## a_x=dv_x/dt ##. (We could also compute ## a_y=dv_y/dt ##, but that part isn't needed). The OP computed the force between the track and the block, and incorrectly set this as the mass times the normal component of the acceleration of the block. (Gravity also acts on the block. The net force from gravity plus the track gives the mass times the acceleration). The normal component of the acceleration is simply ## v^2/R ##, and does not contain a second term. By putting in this extra term, but omitting the term from the tangential acceleration, he gets the right answer, but with an approach that, if I interpreted it correctly, has offsetting errors.
 
Last edited:
  • #18
@haruspex and @Delta2 Please see post 17, especially the Edits. (You might have already read the post before I edited it a couple of times).
 
  • Informative
Likes   Reactions: Delta2
  • #19
Charles Link said:
@haruspex and @Delta2 Please see post 17, especially the Edits. (You might have already read the post before I edited it a couple of times).
I saw no point in looking at it further until we have an answer to my questions in post #15.
 
  • Like
Likes   Reactions: Charles Link
  • #20
Well, if I understand correctly what you saying at post #17, I disagree with you, I think he has no mistake up to the part where he derives ##v_xdv_x##. Gravity doesn't affect directly v_x (how could it be since gravity acts in the y direction solely). However gravity affects the normal force N (via ##N=mg\cos\theta+m\frac{v^2}{R}##)which in turn affects ##v_x## via its x-component ##N\sin\theta##.
 
  • Like
Likes   Reactions: NTesla and Charles Link
  • #21
The net force in the normal direction is ##mv^2/R ##. The track exerts a force ##F_t=mg \cos{\theta}+mv^2/R ## and gravity exerts a force whose component in the normal direction is ##-mg \cos{\theta} ##. ok, I see the logic now=The gravity acts downward, so that the force from the track must be the origin of any force causing an acceleration in the x-direction. Thank you @Delta2 :)
 
  • Like
Likes   Reactions: Delta2
  • #22
haruspex said:
Do you see that the physics are the same?

You still have not responded to my reading of the question, namely, that you are not asked to solve the motion while on the curved surface, nor to my inquiry as to whether there are more parts to the question.
Yes I do see that the physics involved in this question and that in pendulum are similar.
I understand that the question didn't ask to solve for theta(t). Still I was doing that for my own learning. Also, the question was to find vx and vy.
I also understand that I could have found vx as simply vcos(theta). However, the equation that I've written doesn't seem to be wrong. Still I'm not getting the same result for vx as I could have gotten by using vx=v*cos(theta).
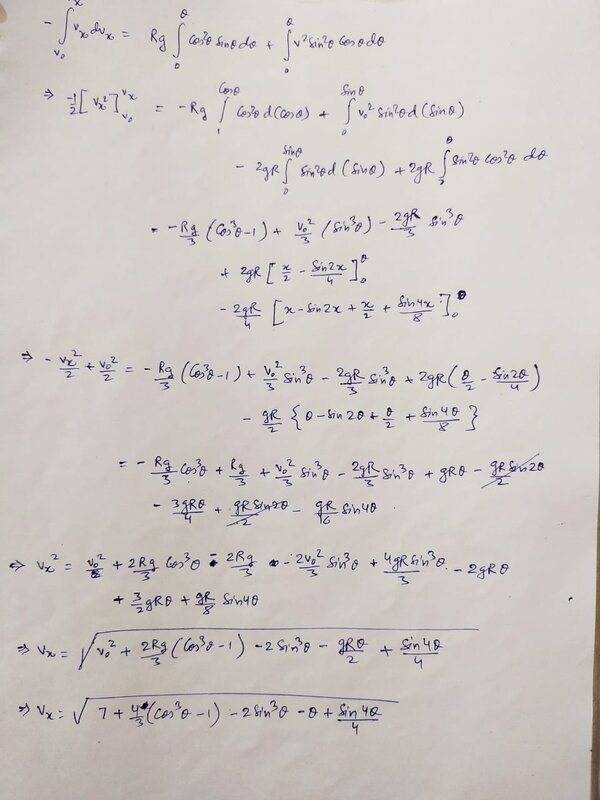
Here I've tried to calculate after including v^2 inside the integral sign. Still the expression that I'm getting is not giving the same result as vcos(theta). Could someone please let me know where I'm going wrong if the equations are right to begin with.
2.jpeg
 
Last edited:
  • #23
NTesla said:
I understand that the question didn't ask to solve for theta(t). Still I was doing that for my own learning. Also, the question was to find vx and vy.
I still feel you are not grasping my main point. The question as posted does not ask you to find anything about motion on the curve. It says "till" it is on the curved surface, i.e. while it is still on the horizontal surface. Now, maybe that is a misquote of the question, or a mistranslation, or comes in a later part of the question than quoted, or you just want to try to solve it anyway.
My replies below assume it does want the velocity on the curve.
NTesla said:
I could have found vx as simply vcos(theta)
The question does not say what vx should be found as a function of. We have established that finding it as a function of time is impossibly hard, so presume it is as a function of theta, and you have solved that.

In the image in post #22 you seem to be trying to derive the result some other way, but you lost me in the first line.
If you want me to help with that, please repost just the first few lines, explaining what you are doing, why and how, and as typed in text, not as an image. (Per forum rules, images are only for diagrams and textbook extracts.)
 
  • #24
In my post#1, I've written an equation:
$$-m\frac{dv_{x}}{dt}=NSin\theta =(mgcos\theta+\frac{mv^{2}}{R})sin\theta $$

I suppose this equation is not wrong.
Then I've proceded to solve for ##v_{x}## . In post#2 you had correctly mentioned that I've mistakenly kept ##v^{2}## outside the integral. Therefore, in post#22 I corrected that mistake and included ##v^{2}## inside the integral. Still, after solving for ##v_{x}##, the equation for ##v_{x}## is not the same as could have been found by using ##vcos\theta ##. That is what I don't understand, that if my 1st equation is right, then where am I going wrong that I'm getting a wrong equation for ##v_{x}##.
 
  • #25
NTesla said:
In my post#1, I've written an equation:
$$-m\frac{dv_{x}}{dt}=NSin\theta =(mgcos\theta+\frac{mv^{2}}{R})sin\theta $$

I suppose this equation is not wrong.
Then I've proceded to solve for ##v_{x}## . In post#2 you had correctly mentioned that I've mistakenly kept ##v^{2}## outside the integral. Therefore, in post#22 I corrected that mistake and included ##v^{2}## inside the integral. Still, after solving for ##v_{x}##, the equation for ##v_{x}## is not the same as could have been found by using ##vcos\theta ##. That is what I don't understand, that if my 1st equation is right, then where am I going wrong that I'm getting a wrong equation for ##v_{x}##.
Ok, I see now, your post #22 continues from the corrected integral in post #1.
Too late now... I'll look at it tomorrow.
 
  • #26
Ok.. Will wait for your insightful comments..
 
  • #27
NTesla said:
Yes I do see that the physics involved in this question and that in pendulum are similar.
I understand that the question didn't ask to solve for theta(t). Still I was doing that for my own learning. Also, the question was to find vx and vy.
I also understand that I could have found vx as simply vcos(theta). However, the equation that I've written doesn't seem to be wrong. Still I'm not getting the same result for vx as I could have gotten by using vx=v*cos(theta).
Here I've tried to calculate after including v^2 inside the integral sign. Still the expression that I'm getting is not giving the same result as vcos(theta). Could someone please let me know where I'm going wrong if the equations are right to begin with. View attachment 272567
This one is easy: The mistake is in the second term of your top line (post 22): It should be ## \sin{\theta} \cos{\theta} ##, not ## \sin^2{\theta} \cos{\theta} ##. Edit: and I checked the integrals using ## v^2 ## correctly. It works and gives ## v_x^2=v^2 \cos^2{\theta} ##.
 
Last edited:
  • Like
Likes   Reactions: Delta2
  • #28
Charles Link said:
This one is easy: The mistake is in the second term of your top line (post 22): It should be ## \sin{\theta} \cos{\theta} ##, not ## \sin^2{\theta} \cos{\theta} ##. Edit: and I checked the integrals using ## v^2 ## correctly. It works and gives ## v_x^2=v^2 \cos^2{\theta} ##.
Thank you @Charles Link so much. That was very helpful. Yes it finally results in the equation ## v_x^2=v^2 \cos^2{\theta} ##. I'm glad it finally worked out nicely.
 
  • Like
Likes   Reactions: Charles Link and Delta2

Similar threads

Replies
39
Views
3K
  • · Replies 81 ·
3
Replies
81
Views
6K
  • · Replies 29 ·
Replies
29
Views
10K
  • · Replies 7 ·
Replies
7
Views
1K
  • · Replies 9 ·
Replies
9
Views
2K
  • · Replies 9 ·
Replies
9
Views
1K
  • · Replies 13 ·
Replies
13
Views
2K
  • · Replies 14 ·
Replies
14
Views
3K
  • · Replies 9 ·
Replies
9
Views
2K
Replies
19
Views
3K