What Is the Half Derivative of (ax+c)^(3/2)?

  • Context: Graduate 
  • Thread starter Thread starter Jocher
  • Start date Start date
  • Tags Tags
    Derivative
Click For Summary

Discussion Overview

The discussion revolves around the computation of the half derivative of the function (ax+c)^(3/2). Participants explore methods and concepts related to fractional calculus, particularly focusing on the challenges and approaches to deriving fractional derivatives.

Discussion Character

  • Exploratory
  • Technical explanation
  • Mathematical reasoning

Main Points Raised

  • One participant asks for help in computing the half derivative of (ax+c)^(3/2).
  • Another participant suggests that taking everything under a common square root is tempting but not applicable for the derivative operator.
  • A different approach is proposed using the Riemann-Liouville operator for defining the fractional derivative, recommending first computing the fractional integral before the classical derivative to avoid convergence issues.
  • An alternative method is mentioned where the classical derivative is computed first, followed by fractional integration, although it is noted that this approach is generally not recommended.
  • One participant shares their experience using fractional derivatives in complex impedance analysis, highlighting the relevance of half derivatives in modeling electrical properties and referencing a specific paper on the topic.

Areas of Agreement / Disagreement

Participants present multiple approaches to computing the half derivative, indicating that there is no consensus on a single method. The discussion remains unresolved regarding the best approach to take.

Contextual Notes

Some methods discussed may depend on specific definitions and assumptions related to fractional calculus, and there are unresolved issues regarding the convergence of integrals in certain approaches.

Jocher
Messages
1
Reaction score
0
d^1/2(ax+c)^(3/2)/dx^(1/2)=? please help me :)
 
Physics news on Phys.org
It is tempting to start by taking everything under the common square root, isn't it?
However, you have probably figured out that this does not work for the derivative operator.

Just like when [itex]y=x^{1/2}[/itex], you are actually looking for [itex]y: y^2=x[/itex], when you see [itex]D^{1/2}f[/itex] you are actually looking to use something like [itex]Hf(x) <img src="/styles/physicsforums/xenforo/smilies/arghh.png" class="smilie" loading="lazy" alt=":H" title="Gah! :H" data-shortname=":H" />^2f(x)=Df(x)[/itex].

Look for http://en.wikipedia.org/wiki/Fractional_calculus]fractional[/PLAIN] calculus[/itex].
 
Last edited by a moderator:
Jocher said:
d^1/2(ax+c)^(3/2)/dx^(1/2)=? please help me :)

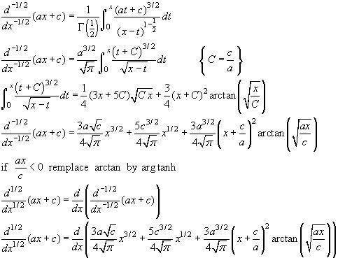
In using the Riemann-Liouville operator for the definition of the fractionnal derivative, and in order to avoid somme difficulties of integral convergence, it will be simpler to :
First, compute the fractional integral (order 1/2) of the function.
Then, compute the classical derivative.
 

Attachments

  • Fractionnal derivative.JPG
    Fractionnal derivative.JPG
    29.3 KB · Views: 486
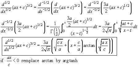
Even simpler, by performing first the classical derivation, then the fractionnal integration (joint page)
(be carefull with this manner, which is generally not recommended. But in the present case, it works)
 

Attachments

  • Simpler fractionnal derivative.JPG
    Simpler fractionnal derivative.JPG
    20.4 KB · Views: 503
Last edited:
You're welcome !

I used fractionnal derivatives in complex impedance analysis.
The particular case of half derivative is common in modeling the electrical properties of many homogeneous compounds (a particular behaviour and impedance, long ago loosely refreed as Warburg's impedance).
Especially, the fractionnal derivatives of the sinusoidal functions are interesting.
For example, in the paper "The Phasance Concept", pp.5-6
http://www.scribd.com/JJacquelin/documents
 

Similar threads

  • · Replies 8 ·
Replies
8
Views
3K
  • · Replies 17 ·
Replies
17
Views
6K
  • · Replies 1 ·
Replies
1
Views
1K
  • · Replies 27 ·
Replies
27
Views
3K
  • · Replies 6 ·
Replies
6
Views
4K
  • · Replies 4 ·
Replies
4
Views
4K
  • · Replies 11 ·
Replies
11
Views
3K
  • · Replies 4 ·
Replies
4
Views
2K
  • · Replies 5 ·
Replies
5
Views
2K
  • · Replies 6 ·
Replies
6
Views
3K