What is the Limit of (1+x)^(1/x) as x approaches 0?

  • Thread starter Thread starter vkash
  • Start date Start date
  • Tags Tags
    Limits
Click For Summary

Homework Help Overview

The problem involves evaluating the limit of the expression (1+x)^(1/x) as x approaches 0. The context is rooted in calculus, particularly in the study of limits and logarithmic functions.

Discussion Character

  • Exploratory, Conceptual clarification, Mathematical reasoning, Assumption checking

Approaches and Questions Raised

  • Participants discuss taking the logarithm of the expression and applying l'Hôpital's rule. There are attempts to interpret the logarithmic transformation and its implications, with some participants questioning the steps taken and the resulting conclusions.

Discussion Status

The discussion is ongoing, with participants providing hints and suggestions for approaching the problem. There is an exploration of different interpretations of the logarithmic steps, and some participants express confusion about the reasoning presented, indicating a lack of consensus on the approach.

Contextual Notes

Some participants reference attachments for additional context, and there is mention of using tools like WolframAlpha for verification, highlighting potential gaps in understanding the commands needed for such tools.

vkash
Messages
316
Reaction score
1

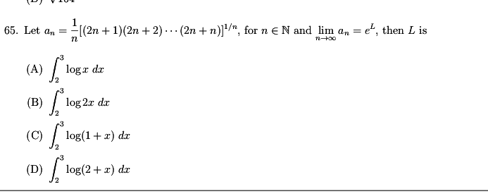
Homework Statement



see attachment

Homework Equations



limx->0(1+x)1/x=e

The Attempt at a Solution


step 1: take log in both sides of an=...(as in function).
step 2: multiply and divide it by 2n inside the log.
step 3: there are n terms in multiplication so substitute 2(of denominator ) with all of the terms.
on solving it comes out to be ln2. which is equal to limn->infln an so final answer will 2.
I solve all the options but none of them give 2.
can you please tell me where am i doing it wrong.
OR
how to know it's answer on wolframalpha. Since i don't know proper commands to do it
 

Attachments

  • Screenshot - 02022012 - 10:58:35 PM.png
    Screenshot - 02022012 - 10:58:35 PM.png
    4 KB · Views: 662
Last edited:
Physics news on Phys.org
The log is (1/x)*log(1+x). I would just use l'Hopital's rule from there. I don't see where step 2 is going.
 
Dick said:
The log is (1/x)*log(1+x). I would just use l'Hopital's rule from there. I don't see where step 2 is going.
you are solving relevant equation not the question i raised.
see attachment.
 
vkash said:
you are solving relevant equation not the question i raised.
see attachment.

Of course, sorry.
 
Ok, so taking the log gives you log(1/n)+(1/n)*(log(2n+1)+...+log(2n+n)), ok so far? Now log(1/n)=(1/n)*n*log(1/n)=(1/n)*(log(1/n)+log(1/n)+...+log(1/n)). Add the two sums together and interpret it as a Riemann sum. Sorry to not be more accurate in notation here, but this is along the lines of a hint.
 
Dick said:
Ok, so taking the log gives you log(1/n)+(1/n)*(log(2n+1)+...+log(2n+n)), ok so far? Now log(1/n)=(1/n)*n*log(1/n)=(1/n)*(log(1/n)+log(1/n)+...+log(1/n)). Add the two sums together and interpret it as a Riemann sum. Sorry to not be more accurate in notation here, but this is along the lines of a hint.

doesn't understand>:confused:
 
vkash said:
doesn't understand>:confused:

Well, I don't understand how you got ln2 either. If you can show that in more detail maybe someone can tell you why it's wrong. I'm suggesting to write out the sum you get from the log in such a way that it looks like a Riemann sum for an integral.
 

Similar threads

  • · Replies 12 ·
Replies
12
Views
4K
Replies
5
Views
3K
  • · Replies 8 ·
Replies
8
Views
2K
  • · Replies 19 ·
Replies
19
Views
2K
Replies
7
Views
3K
  • · Replies 13 ·
Replies
13
Views
3K
  • · Replies 6 ·
Replies
6
Views
2K
  • · Replies 10 ·
Replies
10
Views
2K
  • · Replies 3 ·
Replies
3
Views
2K
Replies
1
Views
1K