What is the most accurate way to measure the velocity of a rolling marble?

  • Thread starter Thread starter MacFanBoy
  • Start date Start date
  • Tags Tags
    Method
Click For Summary

Homework Help Overview

The discussion revolves around measuring the velocity of a rolling marble, specifically in the context of a lab experiment where the marble is rolled off a table. Participants explore different methods of measurement, including energy conservation and free fall trajectory, and note discrepancies in their results.

Discussion Character

  • Exploratory, Assumption checking, Conceptual clarification

Approaches and Questions Raised

  • Participants discuss the methods used to measure velocity, including energy calculations and trajectory equations. Questions arise about the practical measurement techniques and the effects of friction and rotational motion on the calculations.

Discussion Status

The discussion is ongoing, with participants providing insights into the calculations and measurements involved. Some have offered clarifications regarding the role of friction and angular velocity, while others are questioning the completeness of the energy equations used in the experiment.

Contextual Notes

There are mentions of missing information regarding the effects of friction and the assumptions made in the energy calculations. Participants are also considering the implications of rolling without slipping and how that affects the overall energy balance.

MacFanBoy
Messages
10
Reaction score
0
Well this isn't really a homework problem, just was curious behind the reasoning.

In a lab we rolled a marble off the edge of a table, and measured the velocity using: Energy and Free fall trajectory. But when comparing the two there was something like a 60% error, between the two.

My Physics teacher doesn't do much, so when I asked him he just shrugged off the question. I think that Free Fall Trajectory is more accurate, but not sure why, its practically a guess.
 
Physics news on Phys.org
Could you be more specific, what did you actually measure here?
 
Oh sorry about that, we measured velocity.

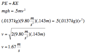
Energy using PE=KE

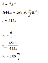
Free fall trajectory d=.5*g*t^2

Is that what you were asking?
 
When you say you "measured" velocity, how did you practically "measure" the velocity?
 
MacFanBoy said:
Oh sorry about that, we measured velocity.

Energy using PE=KE

Free fall trajectory d=.5*g*t^2

Is that what you were asking?

Unfortunately missing from the energy calculation was the effect that the friction had on the marble rolling down your ramp if I recall correctly.

Since the ball was rolling without slipping there was some portion of the downward rolling that went into increasing angular velocity of the marble.
Your equation for PE = KE was incomplete then because not only was there the horizontal v from the mv2/2 as it left the table
but there was the energy contained in the rotational kinetic energy I*w2/2
which is the moment of inertia of the marble times the angular velocity squared.
 
Oh alright:

I attached some images of the work. Seemed easier than typing it out.
 

Attachments

  • Picture 2.png
    Picture 2.png
    4.1 KB · Views: 472
  • Picture 3.png
    Picture 3.png
    2.5 KB · Views: 474
Hootenanny said:
When you say you "measured" velocity, how did you practically "measure" the velocity?

I think the measurement was of the distance from the edge of the table given the measured height of the table.

The marble that was measured had been released down a ramp, and the horizontal velocity was calculated on that basis.
 
LowlyPion said:
I think the measurement was of the distance from the edge of the table given the measured height of the table.

The marble that was measured had been released down a ramp, and the horizontal velocity was calculated on that basis.

Yea, sorry. lowlypion is correct. The marble was rolled down a curved ramp, which was on a table. we measured the horizontal velocity when it was at the edge of the ramp, before it rolled off of the table. In the trajectory equation, vx=d/t "d" is the distance that we measured when the marble hit the ground (measurement by Carbon Paper).
 
LowlyPion said:
Unfortunately missing from the energy calculation was the effect that the friction had on the marble rolling down your ramp if I recall correctly.

Since the ball was rolling without slipping there was some portion of the downward rolling that went into increasing angular velocity of the marble.
Your equation for PE = KE was incomplete then because not only was there the horizontal v from the mv2/2 as it left the table
but there was the energy contained in the rotational kinetic energy I*w2/2
which is the moment of inertia of the marble times the angular velocity squared.

Ok, that makes sense. I was thinking friction. But I had no idea on how to explain it. Thanks.
 
  • #10
LowlyPion said:
I think the measurement was of the distance from the edge of the table given the measured height of the table.

The marble that was measured had been released down a ramp, and the horizontal velocity was calculated on that basis.
Ahh, I was labouring under the impression that they were measuring the velocity and then either infering the energy from their measurements or comparing their measurements to theoretical predictions.
 
  • #11
MacFanBoy said:
Ok, that makes sense. I was thinking friction. But I had no idea on how to explain it. Thanks.

Note that the moment of inertia of a sphere is 2/5*m*r2 and of course w = v/r, making 1/2*I*w2 = 1/5*m*v2

Hence a better expression might have been

m*g*h = 1/2*m*v2 + 1/5*m*v2

with v = (10*g*h/7)1/2 as opposed to the more inexact (2*g*h)1/2
 

Similar threads

Replies
5
Views
3K
  • · Replies 4 ·
Replies
4
Views
4K
  • · Replies 10 ·
Replies
10
Views
3K
  • · Replies 22 ·
Replies
22
Views
4K
  • · Replies 40 ·
2
Replies
40
Views
5K
  • · Replies 11 ·
Replies
11
Views
5K
  • · Replies 9 ·
Replies
9
Views
2K
Replies
3
Views
7K
  • · Replies 17 ·
Replies
17
Views
3K
  • · Replies 2 ·
Replies
2
Views
3K