What is the Probability of Distances in an Equilateral Triangle?

Click For Summary
SUMMARY

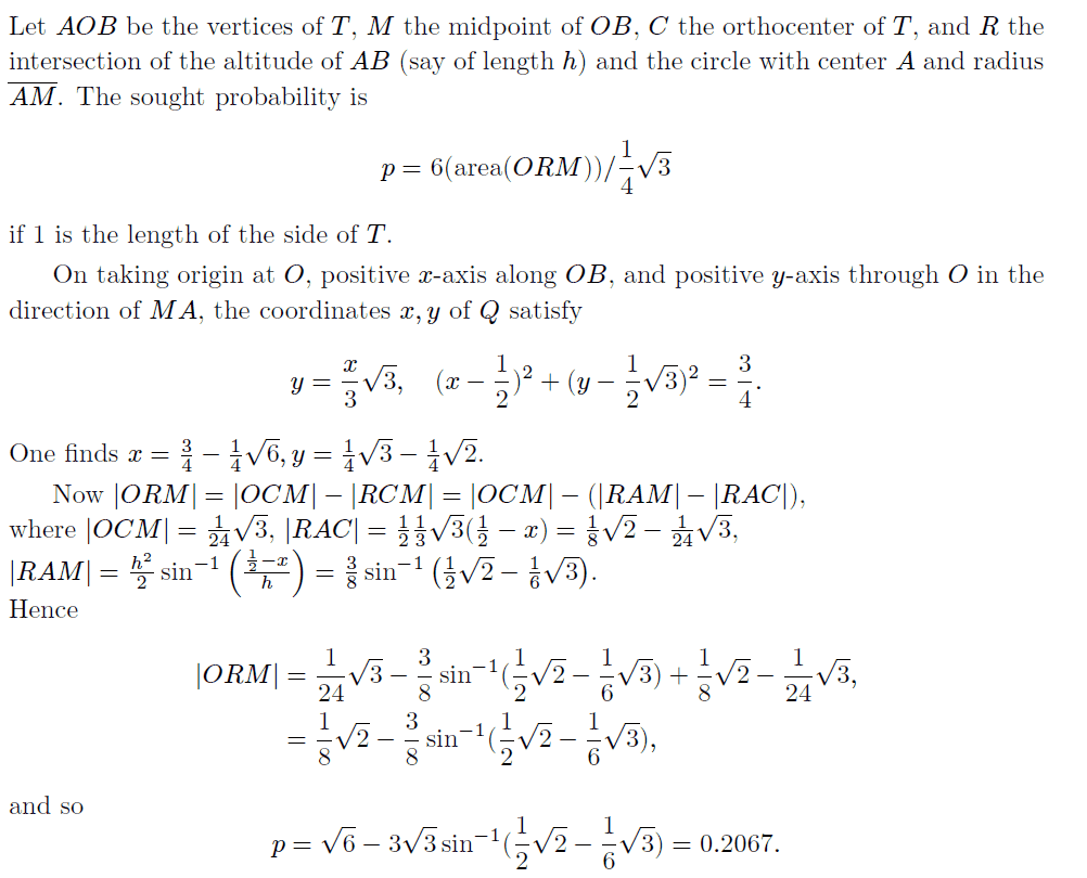
The discussion focuses on calculating the probability that a randomly chosen point $P$ within an equilateral triangle $T$ has another point $Q$ in $T$ such that the distance from $P$ to $Q$ exceeds the altitude of triangle $T$. The altitude of an equilateral triangle can be expressed as \( \frac{\sqrt{3}}{2}a \), where \( a \) is the length of a side. The suggested solution involves geometric probability and uniform distribution principles to derive the required probability.

PREREQUISITES
  • Understanding of geometric probability
  • Familiarity with equilateral triangle properties
  • Knowledge of uniform distribution concepts
  • Basic skills in mathematical reasoning and proof techniques
NEXT STEPS
  • Explore geometric probability in more complex shapes
  • Study the properties of equilateral triangles in depth
  • Learn about uniform distribution and its applications in probability
  • Investigate advanced topics in mathematical proofs related to distance measures
USEFUL FOR

Mathematicians, students studying probability theory, and educators seeking to enhance their understanding of geometric probability concepts.

lfdahl
Gold Member
MHB
Messages
747
Reaction score
0
A point $P$ is chosen at random with respect to the uniform distribution in an
equilateral triangle $T$. What is the probability that there is a point $Q$ in $T$ whose distance
from $P$ is larger than the altitude of $T$?
 
Physics news on Phys.org

Attachments

  • Triangle probability calculation.PNG
    Triangle probability calculation.PNG
    42.5 KB · Views: 130

Similar threads

  • · Replies 12 ·
Replies
12
Views
3K
  • · Replies 6 ·
Replies
6
Views
3K
  • · Replies 1 ·
Replies
1
Views
2K
  • · Replies 2 ·
Replies
2
Views
1K
  • · Replies 9 ·
Replies
9
Views
3K
  • · Replies 7 ·
Replies
7
Views
2K
  • · Replies 6 ·
Replies
6
Views
5K
  • · Replies 8 ·
Replies
8
Views
3K
Replies
35
Views
6K
  • · Replies 1 ·
Replies
1
Views
2K