What is the Proof for Newton's Law of Cooling Formula Using Quadratic Equation?

Click For Summary

Homework Help Overview

The discussion revolves around proving Newton's Law of Cooling in the context of a heat pump system maintaining a building's temperature. Participants are exploring the relationship between the heat pump's performance and the temperatures involved, specifically how to derive a quadratic equation from the given conditions.

Discussion Character

  • Exploratory, Conceptual clarification, Mathematical reasoning, Problem interpretation

Approaches and Questions Raised

  • Participants are attempting various methods to prove the formula, questioning their approaches and the algebra involved. Some are exploring the coefficient of performance of the heat pump and its relation to the heat loss rate. Others express confusion about transitioning to a quadratic equation and the implications of the variables involved.

Discussion Status

There are multiple lines of reasoning being explored, with some participants offering hints and guidance on approaching the problem. While there is no explicit consensus, productive discussions are occurring around the algebraic manipulation required to form a quadratic equation.

Contextual Notes

Participants note the complexity of the algebra involved and the potential for messy calculations. There is a reference to a lack of clarity regarding the coefficient of performance in the context of the problem, which may impact the approaches taken.

guyvsdcsniper
Messages
264
Reaction score
37
Homework Statement
A building is maintained at temperature
TH with a reversible heat pump operating between the building and a
colder environment at temperature TC < TH. The heat pump consumes electrical
power at a constant rate W . The building also loses heat according to
Newton’s law of cooling, that is, at a rate (TH – TC) where is constant.
Show that the building temperature is maintained at temperature
Relevant Equations
dQrev/T = 0
I have went about this problem many different ways but cannot seem to come up with the answer. I am essentially trying to prove the formula provided in the ss of the problem.Could someone help me and tell me if I am approaching this wrong?

IMG_8415.JPG

Screen Shot 2022-02-15 at 2.25.23 PM.png
 
Physics news on Phys.org
quittingthecult said:
Homework Statement:: A building is maintained at temperature
TH with a reversible heat pump operating between the building and a
colder environment at temperature TC < TH. The heat pump consumes electrical
power at a constant rate W . The building also loses heat according to
Newton’s law of cooling, that is, at a rate (TH – TC) where is constant.
Show that the building temperature is maintained at temperature
Relevant Equations:: dQrev/T = 0

I have went about this problem many different ways but cannot seem to come up with the answer. I am essentially trying to prove the formula provided in the ss of the problem.Could someone help me and tell me if I am approaching this wrong?

View attachment 297169
View attachment 297168
I haven't gone through your entire approach (my eyes aren't what they used to be). But since the heatpump is reversible, we can assume it operates as an ideal Carnot engine. It has the efficiency:

[tex]\eta = \frac{\dot{W}}{\dot{Q_H}} = 1 - \frac{T_C}{T_H}[/tex]

Now, what's [itex]\dot{Q_H}[/itex]? It's the rate at which heat leaves the hot-sink, right? The rate that heat leaves the building. You have another formula for that rate.

I would start there. (Hint: There's some signifiant algebra involved, and if you find yourself with a quadratic, you might be on the right track.)
 
  • Like
Likes   Reactions: guyvsdcsniper and Steve4Physics
quittingthecult said:
I have went about this problem many different ways but cannot seem to come up with the answer. I am essentially trying to prove the formula provided in the ss of the problem.Could someone help me and tell me if I am approaching this wrong?

View attachment 297169
View attachment 297168
Not my area but, since no one has replied yet, maybe this will help. I think a different approach is required,

Do you know how to express the coefficient of performance (heating) of the heat pump in terms of ##T_C## and ##T_H##?

If not, take a look here: https://en.wikipedia.org/wiki/Coefficient_of_performance

Energy is being supplied to the building at a rate of ##\dot W .COP_{heating}##.

Since this will equal the rate of heat loss, ##α(T_H-T_C)##, you can write an equation which should give a quadratic equation in ##T_H## that you can solve.

But the algebra looks like it will be a bit messy!

EDIT. Aha! @collinsmark beat me to it!
 
  • Like
Likes   Reactions: guyvsdcsniper and collinsmark
Steve4Physics said:
Not my area but, since no one has replied yet, maybe this will help. I think a different approach is required,

Do you know how to express the coefficient of performance (heating) of the heat pump in terms of ##T_C## and ##T_H##?

If not, take a look here: https://en.wikipedia.org/wiki/Coefficient_of_performance

Energy is being supplied to the building at a rate of ##\dot W .COP_{heating}##.

Since this will equal the rate of heat loss, ##α(T_H-T_C)##, you can write an equation which should give a quadratic equation in ##T_H## that you can solve.

But the algebra looks like it will be a bit messy!

EDIT. Aha! @collinsmark beat me to it!
I just checked my book and it does mention COP but it only mentions the COP of a refrigerator. Thank you for the wiki page. I will try it using this new approach.
 
collinsmark said:
I haven't gone through your entire approach (my eyes aren't what they used to be). But since the heatpump is reversible, we can assume it operates as an ideal Carnot engine. It has the efficiency:

[tex]\eta = \frac{\dot{W}}{\dot{Q_H}} = 1 - \frac{T_C}{T_H}[/tex]

Now, what's [itex]\dot{Q_H}[/itex]? It's the rate at which heat leaves the hot-sink, right? The rate that heat leaves the building. You have another formula for that rate.

I would start there. (Hint: There's some signifiant algebra involved, and if you find yourself with a quadratic, you might be on the right track.)
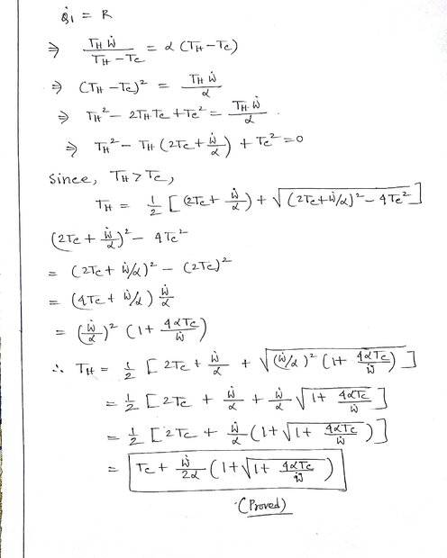
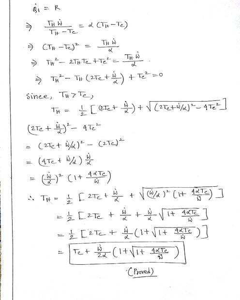
Hey, so I got close to the solution of this problem but kept coming up short. I ended up referring to a solution someone else posted but am I bit lost on the algebra.

I am a bit lost on the jump to forming a quadratic equation. How is it that Th2 turns into Th.

PHYS1.jpeg
PHYS 2.jpeg
 
quittingthecult said:
Hey, so I got close to the solution of this problem but kept coming up short. I ended up referring to a solution someone else posted but am I bit lost on the algebra.

I am a bit lost on the jump to forming a quadratic equation. How is it that Th2 turns into Th.

View attachment 297339View attachment 297340
If you are OK up to:
##T_H^2 - T_H(2 T_C + \frac {\dot W}{\alpha}) + T_C^2 = 0##
then compare this to the standard quadratic equation
##ax^2+ bx+c=0##.

Instead of ##x## we are using ##T_H##.
The constants are:
##a = 1##
##b = -(2T_C + \frac {\dot W}{\alpha})## and
##c = T_C^2##

To get the value of ##x## (i.e. ##T_H##) we use ##x = \frac{ -b± \sqrt {b^2 – 4ac)}} {2a}##.
 
  • Like
Likes   Reactions: collinsmark
Steve4Physics said:
If you are OK up to:
##T_H^2 - T_H(2 T_C + \frac {\dot W}{\alpha}) + T_C^2 = 0##
then compare this to the standard quadratic equation
##ax^2+ bx+c=0##.

Instead of ##x## we are using ##T_H##.
The constants are:
##a = 1##
##b = -(2T_C + \frac {\dot W}{\alpha})## and
##c = T_C^2##

To get the value of ##x## (i.e. ##T_H##) we use ##x = \frac{ -b± \sqrt {b^2 – 4ac)}} {2a}##.
That makes so much sense. Thank you so much
 
  • Like
Likes   Reactions: Steve4Physics and collinsmark

Similar threads

  • · Replies 4 ·
Replies
4
Views
2K
  • · Replies 5 ·
Replies
5
Views
2K
Replies
2
Views
2K
  • · Replies 1 ·
Replies
1
Views
5K
  • · Replies 2 ·
Replies
2
Views
2K
Replies
3
Views
2K
Replies
20
Views
3K
Replies
25
Views
2K
  • · Replies 4 ·
Replies
4
Views
4K
Replies
4
Views
1K