What Is the Standard Potential for M?

  • Thread starter Thread starter nhrock3
  • Start date Start date
  • Tags Tags
    Potential
Click For Summary
SUMMARY

The standard potential for M is established at 1.081 volts. This value is crucial for understanding the electrochemical series and its applications in various chemical reactions. The total potential is directly related to the standard potentials of half-cells, which are essential for calculating cell voltages in electrochemical cells. Additionally, the standard potential of the silver half-cell is a key reference point in electrochemistry.

PREREQUISITES
  • Understanding of electrochemical cells
  • Familiarity with standard electrode potentials
  • Knowledge of half-cell reactions
  • Basic principles of thermodynamics in chemistry
NEXT STEPS
  • Research the Nernst equation for calculating cell potentials
  • Learn about the electrochemical series and its significance
  • Explore the standard potential values of common half-cells
  • Study the applications of standard potentials in galvanic cells
USEFUL FOR

Chemistry students, electrochemists, and professionals involved in battery technology or corrosion science will benefit from this discussion.

nhrock3
Messages
403
Reaction score
0
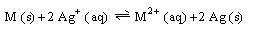
the standard potential for
95tmv8.jpg

is 1.081

what is the standard potential for M
?
 
Physics news on Phys.org
How is the total potential related to potentials pof half cells? What is potential of silver half cell?
 
Last edited by a moderator:

Similar threads

  • · Replies 3 ·
Replies
3
Views
2K
  • · Replies 2 ·
Replies
2
Views
4K
Replies
5
Views
2K
  • · Replies 1 ·
Replies
1
Views
2K
  • · Replies 2 ·
Replies
2
Views
2K
  • · Replies 4 ·
Replies
4
Views
4K
  • · Replies 8 ·
Replies
8
Views
3K
  • · Replies 6 ·
Replies
6
Views
5K
  • · Replies 2 ·
Replies
2
Views
6K