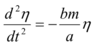
What physical phenomena is this?

  • Context: Undergrad 
  • Thread starter Thread starter appliedF
  • Start date Start date
  • Tags Tags
    Phenomena Physical
Click For Summary
SUMMARY

The discussion centers on circular motion as a mathematical phenomenon represented by a second-order differential equation. It highlights the relationship between this equation and physical processes, specifically harmonic oscillation. Participants emphasize the importance of defining symbols within the equation for clarity and understanding.

PREREQUISITES
  • Understanding of second-order differential equations
  • Familiarity with circular motion concepts
  • Knowledge of harmonic oscillation principles
  • Basic mathematical notation and symbols
NEXT STEPS
  • Research the applications of second-order differential equations in physics
  • Explore the mathematical modeling of circular motion
  • Study the principles of harmonic oscillation in detail
  • Learn about the significance of symbols in mathematical equations
USEFUL FOR

Students in physics or mathematics, educators teaching differential equations, and anyone interested in the mathematical modeling of physical phenomena.

appliedF
Messages
16
Reaction score
0
r_hVrKLxN5NMWaSsxpvrHXX5pEfwLwoFQYeWTILuLFk.png
 

Attachments

  • r_hVrKLxN5NMWaSsxpvrHXX5pEfwLwoFQYeWTILuLFk.png
    r_hVrKLxN5NMWaSsxpvrHXX5pEfwLwoFQYeWTILuLFk.png
    1.6 KB · Views: 754
Physics news on Phys.org
Circular motion.
 
It is a mathematical phenomenon. A so-called second order differential equation.

Please post in introductory homework and use the template.

You meant to ask: what physical process does this equation describe ?
You forgot to tell what the symbols stand for.

Harmonic oscillation.
 

Similar threads

  • · Replies 14 ·
Replies
14
Views
3K
  • · Replies 17 ·
Replies
17
Views
3K
  • · Replies 122 ·
5
Replies
122
Views
15K
  • · Replies 9 ·
Replies
9
Views
2K
  • · Replies 15 ·
Replies
15
Views
3K
  • · Replies 3 ·
Replies
3
Views
2K
  • · Replies 4 ·
Replies
4
Views
3K
  • · Replies 5 ·
Replies
5
Views
2K
Replies
2
Views
3K
  • · Replies 10 ·
Replies
10
Views
2K