Which Transform to Use for Solving Thermoelastic PDEs?

Click For Summary
SUMMARY

The discussion centers on solving a system of partial differential equations (PDEs) in thermoelasticity using Laplace and Fourier transforms. The user has attempted to apply these transforms but faces challenges with finding their inverses and implementing the solution in MATLAB. The conversation emphasizes the importance of experimentation in problem-solving rather than seeking direct answers.

PREREQUISITES
  • Understanding of partial differential equations (PDEs)
  • Familiarity with Laplace transforms
  • Knowledge of Fourier transforms
  • Proficiency in MATLAB programming
NEXT STEPS
  • Research methods for finding the inverse of Laplace transforms
  • Explore techniques for calculating the inverse of Fourier transforms
  • Learn how to implement PDE solutions in MATLAB
  • Study normal mode analysis in thermoelasticity
USEFUL FOR

Researchers, engineers, and students in applied mathematics or mechanical engineering focusing on thermoelasticity and numerical methods for solving PDEs.

mohammed El-Kady
Messages
32
Reaction score
2
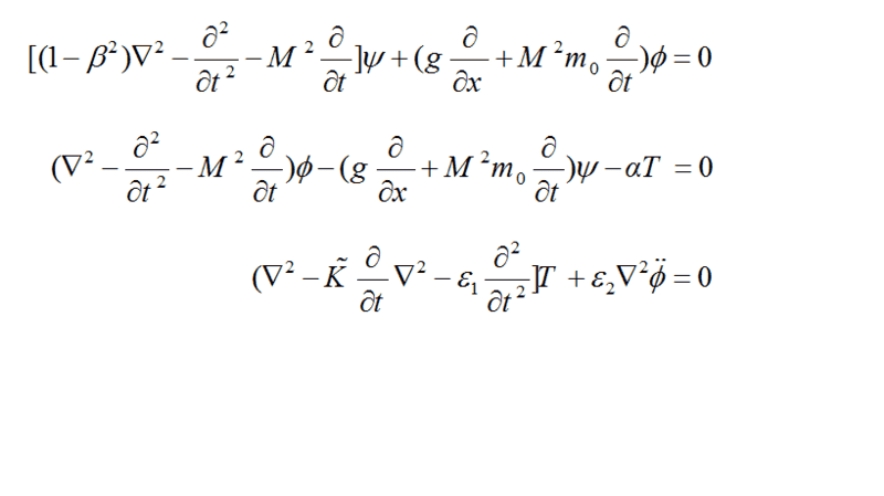
I've a system of partial diff. eqs. in thermo-elasticity, I can solve it using normal mode analysis method but I need to solve it using laplace or Fourier
Untitled.png
 

Attachments

  • Untitled.png
    Untitled.png
    13.5 KB · Views: 1,218
  • Untitled.png
    Untitled.png
    13.5 KB · Views: 1,247
Physics news on Phys.org
You need to try something to see if you are on the right track. We can't just give you the solution.

What do you know about Fourier or Laplace transforms?
 
Sorry I was busy a bit
I put my solution i don't its true or false .. i used the laplace trans. then Fourier tran.
sorry for the line sorry for the camera
if the solution is true I've 2 problems
1- I cannot find the inverse of laplace and fourier
2- I cannot write this system on the matlab
so sorry again
 

Attachments

  • 1.jpg
    1.jpg
    36.3 KB · Views: 573
  • 2.jpg
    2.jpg
    28.2 KB · Views: 537
  • 3.jpg
    3.jpg
    34.1 KB · Views: 746
  • 4.jpg
    4.jpg
    23.6 KB · Views: 543

Similar threads

  • · Replies 1 ·
Replies
1
Views
4K
Replies
4
Views
4K
  • · Replies 5 ·
Replies
5
Views
3K
  • · Replies 3 ·
Replies
3
Views
3K
  • · Replies 2 ·
Replies
2
Views
3K
  • · Replies 9 ·
Replies
9
Views
4K
  • · Replies 5 ·
Replies
5
Views
3K
  • · Replies 4 ·
Replies
4
Views
2K
  • · Replies 3 ·
Replies
3
Views
2K
  • · Replies 4 ·
Replies
4
Views
4K