Why Are Specific Solvents Chosen for Sn2/Sn1, E2, and E1 Reactions?

  • Thread starter Thread starter alingy1
  • Start date Start date
  • Tags Tags
    Synthesis
Click For Summary

Discussion Overview

The discussion revolves around the selection of specific solvents for Sn2, Sn1, E2, and E1 reactions, focusing on the implications of solvent choice on reaction pathways and yields. Participants examine the appropriateness of protic versus aprotic solvents in various scenarios involving secondary carbons.

Discussion Character

  • Debate/contested

Main Points Raised

  • One participant questions the textbook's choice of protic solvents like EtOH and H2O/CH3OH for certain reactions, suggesting that an aprotic solvent like DMF would be more suitable for facilitating Sn2 reactions.
  • Another participant reiterates the preference for DMF in a scenario involving a secondary carbon, arguing it could help prevent E2 reactions and improve yields.
  • One participant introduces the idea that the acidity or basicity of the end products influences the direction of the reaction, noting that reactions favor the formation of weaker acids or bases.
  • A later reply challenges the notion that an unreacting reagent can affect acid-base interactions, indicating a disagreement on the role of solvents in these reactions.

Areas of Agreement / Disagreement

Participants express differing views on the selection of solvents, with no consensus reached on the best approach for specific reactions involving secondary carbons. The discussion remains unresolved regarding the impact of solvent choice on reaction pathways.

Contextual Notes

Participants do not fully explore the assumptions underlying their arguments, such as the specific conditions of the reactions or the definitions of acidity and basicity being used.

alingy1
Messages
325
Reaction score
0
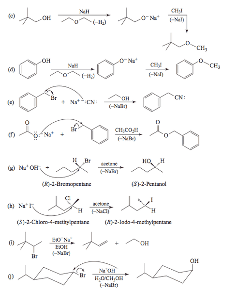
Hi all,
I was looking at the answers in my textbook. They seem to make incongruent choices of solvents.

In e) and j), why choose EtOH and H2O/CH3OH? I would rather choose an aprotic solvent like DMF to better allow Sn2 to occur. Especially with j), there is a lot of competition with E2 because OH- is a strong base and because we are attacking a secondary carbon.
 

Attachments

  • Screen Shot 2014-08-07 at 8.03.29 PM.png
    Screen Shot 2014-08-07 at 8.03.29 PM.png
    28.5 KB · Views: 822
Physics news on Phys.org
I see this again in k). Secondary carbon attacked: why not add DMF to prevent E2 and get best yield?
 

Attachments

  • Screen Shot 2014-08-07 at 8.10.21 PM.png
    Screen Shot 2014-08-07 at 8.10.21 PM.png
    7.7 KB · Views: 753
Depends on the acidity/basicity of the end product. A reaction proceeds towards the weaker base/acid. If your end products are more acidic or basic than the reactants, it will not occur.
 
Teemo, I don't see how an unreacting reagent can cause a change in acid base interactions.
 

Similar threads

  • · Replies 10 ·
Replies
10
Views
3K
  • · Replies 1 ·
Replies
1
Views
2K
  • · Replies 3 ·
Replies
3
Views
8K
  • · Replies 2 ·
Replies
2
Views
3K
  • · Replies 1 ·
Replies
1
Views
6K
Replies
5
Views
4K
  • · Replies 5 ·
Replies
5
Views
11K
Replies
4
Views
4K
Replies
6
Views
7K