Why does the dot product in this solution equal zero?

Click For Summary

Homework Help Overview

The discussion revolves around a problem related to the properties of isosceles triangles, specifically focusing on the proof that the medians bisecting the equal sides are equal. Participants are examining the conditions under which the dot product of two vectors, a and b, equals zero, and its implications for the proof.

Discussion Character

  • Conceptual clarification, Assumption checking

Approaches and Questions Raised

  • Participants are questioning the necessity of the dot product being zero for the proof to hold. They explore whether the proof can still be valid without this condition and discuss the implications of the vectors being perpendicular.

Discussion Status

There is an ongoing exploration of the assumptions regarding the dot product of the vectors. Some participants suggest that the proof does not rely on the dot product being zero, while others are considering the possibility of a misunderstanding in the original problem statement regarding the relationship between the vectors.

Contextual Notes

Participants note that it was not specified whether the vectors a and b are perpendicular, which raises questions about the assumptions made in the proof. There is also mention of a previous problem where the vectors were indeed perpendicular, which may have influenced the current discussion.

Darkmisc
Messages
222
Reaction score
31
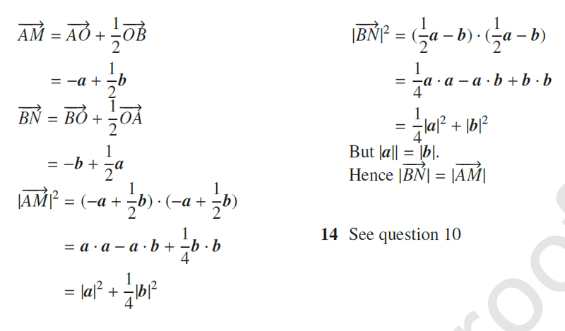
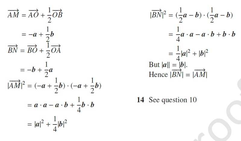
Homework Statement
Prove that the medians bisecting the equal sides of an isosceles triangle are equal.
Relevant Equations
a · b = |a| × |b| × cos(θ)
a · b = ax × bx + ay × by
Hi everyone

I have the solutions for the problem. It makes sense except for one particular step.

Why does the dot product of a and b equal zero? I thought this would only be the case if a and b were at right angles to each other. The solutions seem to be a general proof and should work for all isosceles triangles (not just right angle triangles).

The solution would still make sense even if a · b didn't equal zero. Why does it equal zero here?

Thanks

image_2022-09-21_131238624.png

image_2022-09-21_131315774.png
 
Physics news on Phys.org
Darkmisc said:
Homework Statement:: Prove that the medians bisecting the equal sides of an isosceles triangle are equal.
Relevant Equations:: a · b = |a| × |b| × cos(θ)
a · b = ax × bx + ay × by

Hi everyone

I have the solutions for the problem. It makes sense except for one particular step.

Why does the dot product of a and b equal zero? I thought this would only be the case if a and b were at right angles to each other. The solutions seem to be a general proof and should work for all isosceles triangles (not just right angle triangles).

The solution would still make sense even if a · b didn't equal zero. Why does it equal zero here?

Thanks

View attachment 314417
View attachment 314418
I don't think you need a b = 0 for the proof to work.
Edit: Now I just saw that you wrote just that.
Maybe they just forgot the missing terms.
 
Last edited:
  • Like
Likes   Reactions: Darkmisc
Darkmisc said:
Homework Statement:: Prove that the medians bisecting the equal sides of an isosceles triangle are equal.
Relevant Equations:: a · b = |a| × |b| × cos(θ)
a · b = ax × bx + ay × by

Hi everyone

I have the solutions for the problem. It makes sense except for one particular step.

Why does the dot product of a and b equal zero? I thought this would only be the case if a and b were at right angles to each other. The solutions seem to be a general proof and should work for all isosceles triangles (not just right angle triangles).

The solution would still make sense even if a · b didn't equal zero. Why does it equal zero here?

Thanks

View attachment 314417
View attachment 314418
I'll echo Philip Koeck above, it does not matter if ##a \cdot b = 0##. As you can see, if |a| = |b| then
##a \cdot a - a \cdot b + \dfrac{1}{4} b \cdot b = \dfrac{1}{4} a \cdot a - a \cdot b + b \cdot b##
whether ##a \cdot b = 0## or not. But (never trust a diagram!) it almost looks like the diagram has a and b perpendicular. It seems that this is the whole problem statement but is there somewhere that says a and b are perpendicular?

-Dan
 
  • Like
Likes   Reactions: Darkmisc
topsquark said:
I'll echo Philip Koeck above, it does not matter if ##a \cdot b = 0##. As you can see, if |a| = |b| then
##a \cdot a - a \cdot b + \dfrac{1}{4} b \cdot b = \dfrac{1}{4} a \cdot a - a \cdot b + b \cdot b##
whether ##a \cdot b = 0## or not. But (never trust a diagram!) it almost looks like the diagram has a and b perpendicular. It seems that this is the whole problem statement but is there somewhere that says a and b are perpendicular?

-Dan
No, it wasn't specified that a and b are perpendicular. I also think Philip Koeck was right about them forgetting to delete a · b.

There was a previous problem in which a and b were perpendicular. Maybe that's what caused the authors to mistakenly say that a · b = 0 in the present problem.
 
  • Like
Likes   Reactions: topsquark

Similar threads

  • · Replies 5 ·
Replies
5
Views
3K
  • · Replies 21 ·
Replies
21
Views
8K
  • · Replies 6 ·
Replies
6
Views
4K
  • · Replies 33 ·
2
Replies
33
Views
5K
  • · Replies 4 ·
Replies
4
Views
3K
  • · Replies 4 ·
Replies
4
Views
2K
  • · Replies 7 ·
Replies
7
Views
3K
  • · Replies 10 ·
Replies
10
Views
2K
Replies
22
Views
4K
Replies
6
Views
2K