Why does the expression equal the reciprocal of its logarithm?

Click For Summary
SUMMARY

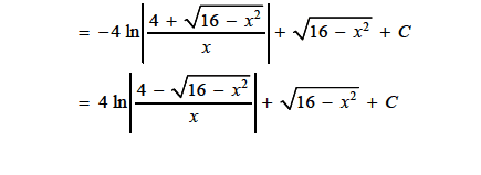
The expression in question, 4 ln(x/(4+sqrt(16-x^2))), equals the reciprocal of its logarithm due to the properties of logarithms and absolute values. Specifically, for x in the intervals [-4,0) and (0,4], the expressions |(4+sqrt(16-x^2))/x| and |(4-sqrt(16-x^2))/x| multiply to 1, confirming they are reciprocals. Consequently, their logarithms are additive inverses, leading to the conclusion that the logarithm of one expression equals the negative of the logarithm of the other.

PREREQUISITES
  • Understanding of logarithmic properties
  • Familiarity with absolute values in mathematical expressions
  • Basic knowledge of calculus concepts
  • Ability to manipulate algebraic expressions
NEXT STEPS
  • Study the properties of logarithms in depth
  • Explore absolute value functions and their implications in calculus
  • Learn about the behavior of functions defined by square roots
  • Investigate the concept of multiplicative inverses in algebra
USEFUL FOR

Students of calculus, mathematics educators, and anyone interested in the properties of logarithmic functions and their applications in algebraic expressions.

terryds
Messages
392
Reaction score
13
I encountered this in http://calcchat.com/book/Calculus-10e/8/4/7/

Capture.PNG
How come the above expression equals the below?
What I know it should be 4 ln(x/(4+sqrt(16-x^2))) which means the -1 becomes the power of that thing inside ln.

Please help me. I really don't get it.
 
  • Like
Likes   Reactions: mfb
Physics news on Phys.org
Provided ##x\in[-4,0)\cup (0,4]## we have
$$\left|\frac{4+\sqrt{16-x^2}}x\right|=\frac{4+\sqrt{16-x^2}}{|x|}$$
and
$$\left|\frac{4-\sqrt{16-x^2}}x\right|=\frac{4-\sqrt{16-x^2}}{|x|}$$
and that multiplying the two right-hand sides together gives 1. So they are reciprocals, hence their logs are additive inverses.
 
  • Like
Likes   Reactions: FactChecker and terryds

Similar threads

  • · Replies 10 ·
Replies
10
Views
2K
  • · Replies 14 ·
Replies
14
Views
4K
  • · Replies 7 ·
Replies
7
Views
1K
  • · Replies 1 ·
Replies
1
Views
2K
  • · Replies 3 ·
Replies
3
Views
458
  • · Replies 24 ·
Replies
24
Views
7K
  • · Replies 3 ·
Replies
3
Views
3K
  • · Replies 17 ·
Replies
17
Views
5K
  • · Replies 4 ·
Replies
4
Views
2K
  • · Replies 13 ·
Replies
13
Views
3K